ПЕРСПЕКТИВЫ НЕФТЕГАЗОНОСНОСТИ ОТЛОЖЕНИЙ ДЕВОНА АСТРАХАНСКОГО СВОДА
Г.П. Косачук, Ф.Р. Билалов (ВНИИгаз)
Перспективы нефтегазоносности девона юго-западной части Прикаспийской впадины оценивались всегда высоко. При определении перспективных отложений главное внимание уделялось структурному фактору и коллекторским свойствам пород. На современном этапе для технико-экономических оценок этого недостаточно, необходимо указать, какие УВ - нефть или газ - будут обнаружены на большой глубине, так как именно от этого показателя зависит рентабельность их освоения. Наиболее ликвидными являются жидкие УВ.
Приведенные ниже фактические данные о распространении нефти в недрах в зависимости от геотермических условий позволяют более обоснованно оценивать запасы жидких и газообразных УВ на больших глубинах.
Н. Роджерс на примере данных в штате Пенсильвания впервые указал на зависимость между метаморфизмом углей и присутствием нефти [1]. Изучение Н. Роджерсом катагенетической преобразованности ОВ - витринита - показало, что нефтяные залежи встречаются там, где метаморфизм не прошел стадию пламенных сухих углей.
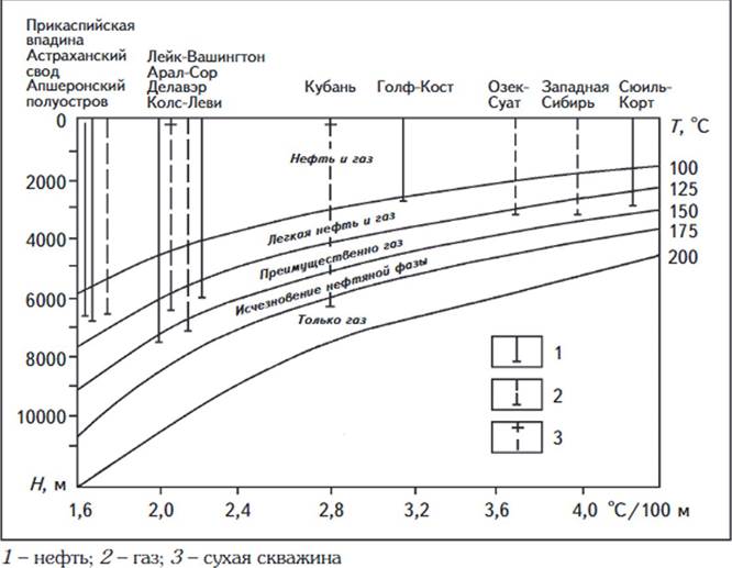
Ландесом [1] обобщены данные по продуктивным скважинам, пробуренным в США на глубинах свыше 4570 м, из которых 68 % оказались газовыми и газоконденсатными и 32 % - нефтяными. На основании получениях результатов, а также исследований метаморфизма углей Ландес составил схему распространения нефти и газа в зависимости от глубины и температуря недр.
Авторами на схему Ландеса нанесены результаты испытания продуктивных скважин ряда нефтегазоносных районов б. СССР, пробуренных на глубину свыше 4500 м. Палеоглубинная привязка шкалы проведена с учетом установлениях в настоящее время закономерностей формирования катагенетической преобразованности ОВ в разных геотектонических условиях [1] (рис. 1).
При температурах 100-120 °С в недрах встречаются залежи легкой нефти, при 125-150 °С - большей частью газоконденсатные и газовые залежи, а при 150-175 °С нефтяные залежи не отмечены. Сопоставление геотермических градиентов различных районов позволяет оценить вероятные предельные глубины нахождения нефти и газа (табл. 1, 2). Так, температуре 180 °С при геотермических градиентах 1,5 и 3,5 °С/100 м соответствуют глубины 11,3 и 4,8 км.
Для оценки существования жидких УВ на больших глубинах были использованы данные по скорости их распада в зависимости от температуря в соответствии с уравнением Аррениуса [2]. До 140 °С УВ оказываются весьма стабильными соединениями, а при температуре выше 140 °С начинается термический крекинг нефтей, приводящий к их облегчению (см. табл. 1). При дальнейшем повышении температуря (> 180 °С) и давления в газоконденсатных системах метанонафтеновая часть в значительной степени подвергается распаду при температуре 180-200 °С. Простейшие ароматические УВ в высокоароматизированных газоконденсатных системах, обладающие высокой энергией активации крекинга, существуют и при температуре 200 °С. При температуре 300 °С и выше возможно существование только газа.
Расчеты приведены в предположении существования УВ при определениях термодинамических условиях в течение 50 млн лет. Как видно из табл. 2, расчеты можно использовать при незначительной погрешности для оценки предельных значений температуря существования пластовых флюидов за 10-200 млн лет и т.д. В табл. 1 УВ-флюиды приведены с учетом геотермических градиентов, что позволяет рассчитывать возможные глубины существования флюидов любого типа.
Для западной и юго-западной частей Прикаспийской впадины на территории Волгоградской и Астраханской областей палеотемпературный градиент подсолевых отложений составляет 2 °С/100 м.
С учетом данных, приведениях в табл. 1 и 2, предельная глубина существования нефти при этом градиенте составит 6,5 км, легкой нефти - 8,5 км, конденсата - 9,5 км, а газа - 14 км и более. Следовательно, жидкие УВ в западной и юго-западной частях Прикаспийской впадины могут существовать во всем оцениваемом на современном этапе девонском разрезе.
С целью раздельного прогнозирования типов УВ проведена оценка соотношения газообразных и жидких УВ по глубине залегания в целом и для каждого нефтегазоносного комплекса (среднедевонского и верхнедевон-турнейского). Оценка проведена по газовому фактору в залежах разведанных месторождений Саратовского, Волгоградского и Астраханского Поволжья. На больших глубинах (> 5000 м) возможно существование как нефтяных залежей с высоким газовым фактором, так и газоконденсатных (рис. 2). Эти данные согласуются с исследованиями В.Ф. Перепеличенко (1990), которые свидетельствуют о том, что на глубинах 5-10 км при пластовых давлениях 85-120 МПа и температурах 150-250 °С можно ожидать наличие как нефтяных, так и газоконденсатных залежей.
Учитывая недостаточную изученность составов и свойств пластовых флюидов прогнозируемых залежей в карбонатных и терригенных отложениях девона Астраханского свода, составы и свойства залегающих там пластовых нефтей были приняты по аналогии с таковыми месторождений, имеющих подобные термобарические и литологические характеристики.
Качественная характеристика нефти для перспективного среднедевонского комплекса приводится по нефти, полученной из сходных с проектируемыми условий с глубины 5647 м (эйфель-живетские отложения среднего девона на месторождении Карачаганак в северной части Прикаспийской впадины) (табл. 3). Состав УВ вышележащего верхнедевон-турнейского карбонатного комплекса иллюстрирует нефть, полученная в процессе бурения скв. 2 Володарская. Кроме того, приведены данные по УВ из верхнедевон-турнейских отложений на месторождениях Тенгиз, Карачаганак, Лимано-Грачевское и Западно-Ровненское.
Ресурсы УВ-сырья девонских терригенных отложений Астраханского свода оценивались по категории С3 согласно существующим нормативным документам [3, 4], где форма, размер и условия залегания залежи определяются по результатам геологических и геофизических исследований. Оценка проведена по методике [5] при коэффициенте подтверждаемости 0,3. Перспективные ресурсы категории С3 составляют 1400 млн т условного топлива.
Кроме того, возможно открытие залежей жидких УВ в вышезалегающем карбонатном верхнедевон-турнейском комплексе. Нефтегазоносность верхнедевонских карбонатов на Астраханском своде подтверждена притоком нефти в процессе бурения скв. 2 Володарскаяпри достижении глубины 5961 м. Перспективные ресурсы нефти по данным отложениям оценены в 490 млн т условного топлива.
Прогнозные ресурсы верхне-девон-турнейских отложений в правобережной части Астраханского свода относятся к нелокализованным категории Д, в связи с чем их оценка проводится по средней плотности запасов в пределах Астраханского свода. Прогнозные геологические ресурсы жидких УВ составят 500 млн т условного топлива.
Суммарные начальные ресурсы УВ в девонских отложениях Астраханского свода могут составить 2400 млн т условного топлива.
Согласно табл. 3 наиболее близкими по термобарическим условиям залегания залежей в нижнем карбоне и девоне Астраханского свода являются месторождения Тенгиз и Карачаганак. Для прогнозирования соотношения нефти и газа в качестве эталона принято Карачаганакское месторождение, в котором на единицу продуктивной площади приходится в массовом соотношении 78 % конденсатсодержащего газа и 22 % нефти. Конденсатный фактор составляет 900 г/т, а газовый - 550 м3/т. По массе жидкие и газообразные УВ примерно равны.
На основании выявленных связей сделаны следующие выводы:
1. В пределах Астраханского свода вероятные предельные глубины залегания нефти составляют 8,5 км, газа - 14 км.
2. В девонских отложениях Астраханского свода на глубинах более 5 км возможно существование как нефтяных залежей с высоким газовым фактором, так и газоконденсатных.
3. Суммарные начальные ресурсы УВ девонских отложений Астраханского свода оцениваются в 2,4 млрд т условного топлива при примерно равном по массе соотношении жидких и газообразных УВ.
Литература
1. Геологические закономерности распространения крупных месторождений нефти и газа за рубежом / Н.Т. Линтроп, Э.А. Анфилова, Е.А. Дмитриева, А.О. Щварцман. - Л.: Недра, 1970.
2. Геология и геохимия природных горючих газов / Под ред. И.В. Высоцкого. - М.: Недра, 1990.
3. Инструкция по применению классификации запасов месторождений, перспективных и прогнозных ресурсов нефти и горючих газов. - М., 1984.
4. Методическое руководство по количественной и экономической оценке ресурсов нефти, газа и конденсата России. - М., 2000.
5. Шкала катагенеза органического вещества в отложениях юго-запада Сибирской платформы / Ю.А. Филипцов, Л.Н. Болдушевская, И.В. Давыдова, В.А. Кринин // Генезис нефти и газа. - М., 2003. - С. 357-360.
© Г.П. Косачук, Ф.Р. Билалов, 2003
Comparison of factual data concerning oil distribution in the subsurface with geothermal gradient of the area of Astrakhan arch allowed to establish the probable depths of oil and gas location.
For western and south-western part of Pre-Caspian depression, maximum depth of oil existence at paleotempe- rature gradient being 2o /100 m attains 6.5 km, light oil - 8.5 km, condensate - 9.5 km, and gas - 14 km. Therefore, liquid hydrocarbons in Astrakhan arch could be existed within the whole estimated Devonian sequence.
Ultimate initial HC resources in Devonian formations of Astrakhan arch are estimated at 2400 min. t of standard fuel (considering the index of confirmability as 0.3).
Таблица 1 Предельные температура и глубина существования УВ-флюилов
|
УВ-флюиды |
Температура, °С |
Глубина, км, при средних геотермических градиентах, °С/100 м |
||||||
|
1,5 |
2,0 |
2,5 |
3,0 |
3,5 |
4,0 |
4,5 |
||
|
Нефть |
140 |
8,7 |
6,5 |
5,2 |
4,3 |
3,7 |
3,2 |
2,9 |
|
Легкая нефть |
180 |
11,3 |
8,5 |
6,8 |
5,7 |
4,8 |
4,2 |
3,8 |
|
Конденсат метанонафтеновый |
200 |
12,7 |
9,5 |
7,6 |
6,3 |
5,4 |
4,8 |
4,2 |
|
Конденсат высокоароматизированный |
300 |
19,3 |
14,5 |
11,6 |
9,7 |
8,3 |
7.2 |
6,4 |
Таблица 2 Степень распада УВ-флюидов в зависимости от времени и температуры
|
Степень распада, % |
Температура распада, °С, за время, млн лет |
||||||||
|
1 |
5 |
10 |
50 |
100 |
200 |
400 |
1000 |
10000 |
|
|
1 |
154 |
144 |
140 |
130 |
126 |
122 |
119 |
114 |
102 |
|
99 |
196 |
184 |
179 |
168 |
164 |
159 |
154 |
149 |
135 |
Таблица 3 Качественная характеристика нефтей
|
Месторождение, глубина, возраст |
Плотность, г/м3 |
Содержание попутных компонентов, % |
Пластовая температура, °С |
||
|
сера |
парафин |
смолы, асфальтены |
|||
|
Скв. 2 Володарская, 5961 м, D3 |
0,861-0,876 |
0,29 |
22,7 |
Не опр. |
140 |
|
Тенгиз, 3867 м, D3-C |
0,805 |
0,79 |
3,69 |
2,44 |
107 |
|
Карачаганак, |
|
|
|
|
|
|
5647 м, D2 |
0,803 |
0,91 |
4,84 |
2,59 |
96 |
|
4946 м, D3 |
0,830 |
2,20 |
4,35 |
10,64 |
Не опр. |
|
Лимано-Грачевское, 3363 м, D3 |
0,848 |
0,50 |
3,00 |
6,12 |
87 |
|
Западно-Ровненское, 4468 м, D3 |
0,851 |
0,41 |
3,39 |
2,60 |
Не опр. |
Рис. 1. ЗАВИСИМОСТЬ РАСПРОСТРАНЕНИЯ НЕФТИ И ГАЗА ПО ДАННЫМ ЛАНДЕСА (с дополнениями Г.П. Косачук)

Рис. 2. ИЗМЕНЕНИЕ ГАЗОВОГО ФАКТОРА НЕФТЕЙ С ГЛУБИНОЙ ПО МЕСТОРОЖДЕНИЯМ САРАТОВСКОЙ, ВОЛГОГРАДСКОЙ И АСТРАХАНСКОЙ ОБЛАСТЕЙ
