ГЕОХИМИЧЕСКИЕ ПОКАЗАТЕЛИ ВЫЯВЛЕНИЯ СИНГЕНЕТИЧНОСТИ НЕФТЕЙ И РОВ ПОРОД В ЗАПАДНОМ ОБРАМЛЕНИИ ПРИКАСПИЯ
З.Г. Агафонова, С.А. Пунанова (ИПНГ РАН)
На современном этапе относительно высокой изученности большей части нефтегазоносных бассейнов необходимо проведение комплексных геолого-геохимических исследований, направленных на научно обоснованную оценку перспектив нефте- и газоносности геологических объектов [1].
Геохимические исследования охватывают область сочленения Восточно-Европейской платформы и западного борта Прикаспийской синеклизы. Характерная особенность этого региона - наличие пермского бортового уступа, который разделяет его на внешнюю (Николаевско-Городищенскую прибортовую ступень) и внутреннюю (Ахтубинско-Палласоеский мегавал и Волгоградско-Ерусланский прогиб) зоны предбортовых ступеней. Глубина залегания фундамента в пределах внешней зоны изменяется от 3,5-4,0 км по периферии до 5,5-6,0 км к бортовому уступу. В границах внутренней зоны глубина залегания фундамента увеличивается от бортового уступа к центральным частям Прикаспийской впадины - от 6-7 до 9-10 км и более [2].
По данным ряда исследователей (Владимирова Т.С., Капустин И.Н., Мальцева А.К., 1989) в строении палеозойских подсолевых отложений бортовых зон Прикаспийской впадины участвуют два структурных этажа: эйфельско-нижнефранский, образовавшийся в раннегерцинскую эпоху, и среднефранско-артинский, сформировавшийся в среднегерцинскую эпоху. Первый этаж характеризуется частой сменой типов формаций, что свидетельствует о значительной нестабильности тектонического режима, второй этаж, расчленяющийся на три подэтажа, формировался в условиях более стабильного тектонического режима.
Крупные структурные элементы обеих зон осложнены более мелкими валами, поднятиями, рифогенными постройками, протягивающимися с северо-востока на юго- запад вдоль борта впадины. Они в основном и контролируют размещение скоплений УВ. Нефтяные, газоконденсатные и газовые месторождения, а также нефтегазопроявления связаны с определенными нефтегазоносными комплексами [3].
Детальное изучение и анализ как битуминологических данных, так и результатов пиролиза ОВ пород позволили диагностировать в разрезе подсолевых толщ нефтематеринские отложения [4, 5]. Во внешней зоне - это отложения живет-нежнефранского, турнейского и средне-, верхневизейского комплексов. В границах внутренней зоны к ним отнесены верхнедевонские и нижнепермские породы.
Выделенные слои обогащены ОВ, которое отличается высокими значениями остаточного S2 и нефтегенерационного потенциала РР. Значения Tmax соответствуют широкому диапазону образования УВ-систем - от нефтяных до газоконденсатных и чисто газовых. Такая информация позволяет относить эти слои к классу средних и богатых (по классификации Тиссо-Вельте) нефтегазоматеринских отложений и свидетельствует об их больших перспективах (Тиссо Б., Вельте Д., 1981; Чахмахчев В.А., Тихомиров В.И., Виноградова Т.Л., 1989). По генетическим особенностям ОВ нижнепермских отложений и терригенного девона характеризуется преобладанием сапропелевой составляющей, тогда как ОВ пород верхнего девона и нижнего карбона имеет незначительную примесь гумусового материала.
Оценка степени термической зрелости нафтидов дает необходимую информацию о генезисе нефти и ОВ пород различных литофациальных комплексов и ориентирует на прогноз фазового состояния УВ-систем, что достаточно детально освещено в работах [4, 5].
Нефть и ОВ пород терригенного девона попадают в область умеренной зрелости, при этом Tmax, варьируя в широком диапазоне, соответствует фазе генерации нефтяных, нефтегазоконденсатных и газоконденсатных систем.
Битумоиды и нефть карбонатного девона - турне и терригенного визе, близкие между собой по УВ-составу, характеризуются низкой зрелостью и по данным Ттах находятся в зоне нефтеобразования (внешняя зона бортовых ступеней). В эту же зону входят и карбонатные отложения семилукско-фаменского возраста внутренней структурной ступени.
В зону высокой зрелости вошли нефти и РОВ терригенно-карбонатных нижнепермских отложений, причем изученные нефти внешней зоны находятся на небольших глубинах (Павловское, Липовское месторождения и др.), а исследованное РОВ связано с глубокопогруженными мощными толщами Ахтубинско-Палласовского мегавала и Волгоградско-Ерусланского прогиба. ОВ этих отложений достаточно дифференцировано и могло быть источником как нефтяных (Волгоградско-Ерусланский прогиб), так и нефтегазоконденсатных, газоконденсатных и чисто газовых (Ахтубинско-Палласовский мегавал) скоплений.
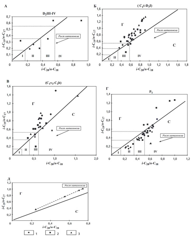
Общая оценка степени термической зрелости нафтидов и РОВ пород отражена на графиках Коннана-Кассоу (рис. 1, А, Б, В, Г, Д), где выделены четыре зоны разного уровня катагенеза нафтидов и РОВ пород:
I. - зона аномально высокой термической зрелости конденсатов и РОВ пород;
II. - зона высокой зрелости нефтей и РОВ пород;
III. - зона умеренной зрелости нефтей и РОВ пород;
IV. - зона низкой зрелости нефтей и РОВ пород.
Так, сходные РОВ “терригенного девона” (D2ef-D2qv, IIc-IIIc зоны, D2qv-D3f1 IIIc, IVc, г зоны) характеризуется умеренной зрелостью, а близкие между собой по углеводородному составу битумоиды карбонатного (D3f2-C1t) и терригенного (C1v2_3) комплексов связаны в основном с зоной низких стадий термического преобразования по Коннану-Кассоу (см. рис. 1, Б, В - зоны IIIr-IVг). Наиболее широкий разброс точек характерен для РОВ пермских отложений внутренней прибортовой зоны. Основное количество изученных битумоидов данного возраста имеет высокую степень зрелости и попадает в зоны IIc-IIIc (см. рис. 1, Г). Анализ дифференциации точек на графике (см. рис. 1, Г) показал, что степень трансформации углеводородных показателей РОВ пород нижней перми находится в прямой связи с глубиной их погружения - зоны IIIс и IVc (см. рис. 1, Г).
Наиболее преобразовано ОВ пород пермских терригенных отложений на глубинах более 6000 м (площадь Упрямовская, скв. 3), наименее - карбонатные разности на глубинах 4000 м (площадь Заволжская).
Оценка стадий катагенеза УВ-систем показала, что флюиды пермских отложений (см. зону IIс на рис. 1, Г) характеризуются наиболее высокими уровнями термической зрелости, так же как и нефти D2ef-D2v (см. зону IIc на рис. 1, А). Это нафтиды сапропелевого типа. Нефти верхнефранского, турнейского и визейского ярусов обладают более низкими градациями катагенеза и сопоставимы с РОВ одновозрастных пород, что свидетельствует о сингенетичности этих нефтей органическому веществу вмещающих материнских толщ.
Для более четкой корреляции углеводородного состава нефтей с РОВ нефтематеринских пород З.Г. Агафоновой предложена функция, по которой построен график зависимости i-С19*н-С18/i-С20*н-С17 от i-С18/i-C19 (рис. 2, А). Данное соотношение отражает изменение исходного ОВ с возрастом вмещающих отложений и позволяет дифференцировать нефти и РОВ пород с учетом изменения в них доли исходного ОВ (сапропелевый или гумусовый тип исходного О В дается по Коннану-Кассоу). Нафтиды и РОВ нефтематеринских пород сапропелевого основания - пермские флюиды и сингенетичное ему РОВ нефтематеринских пород распределились в зоне 1а (P1ar и Р1k). Нефти нижнепермского возраста расчленяются на два подтипа по распределению нечетных и четных н-алканов. Нефти из отложений девонского возраста и сингенетичное им РОВ нефтематеринских пород, также сапропелевого типа, располагаются в зоне 1. Численное значение данного соотношения для ОВ сапропелевого типа не превышает 1. В нефтях возраста D2ef-D2gv1 численное значение этого соотношения составляет 0,55-0,8, а в нефтях живетского возраста (D2gv, пласт III) - около 0,93 (зона 1b). С ростом гумусовой составляющей в нефтях и РОВ пород величина соотношения увеличивается, и точки смещаются вправо. Это нефти и РОВ нефтематеринских отложений терригенного комплекса (С1v2-3), где величина соотношения выше 1 (до 1, 2, зона 2); в отложениях верхнедевонско-нижнекаменноугольного возраста (D3f-fm-C1t) численные значения данного соотношения находятся в пределах 1,3-1,5 (см. рис. 2, А, Б).
Для нефтей франского возраста западного обрамления Прикаспия (D3O) величина соотношения равна 1,3 (Кчет< 1). т.е. численное значение соотношения i-С19*н-С18/i-С20*н-С17 РОВ нефтематеринских пород для конкретного возраста остается постоянным, в то время как точки численных значений коэффициентов Коннана-Кассоу смещаются по оси координат и связаны со степенью катагенеза и фазовым состоянием флюидов в недрах (скв. 204 Кудиновская : скв. 41 и 54 Добринские, где эти величины равны соответственно 0,73 и 0,56: 0,92 и 0,71; 0,97 и 0,75 (см. рис. 1, Д).
Таким образом, величина соотношения i-С19*н-С18/i-С20*н-С17 возрастает с увеличением в исходном ОВ гумусовой составляющей.
Аналогичные исследования, в которых данная функция была апробирована на нефтях и РОВ пород нефтематеринских толщ Бузулукской впадины, были представлены в работе [1].
Для апробации на нефтях исследуемого региона З.Г. Агафоновой предложено соотношение i-С19*н-С18/i-С20*н-С17 от н-С15/ iC19(геохимическая корреляция нефть- нефть) и построен график функциональной зависимости i-С19*нС18/i-C20*н-C17 = f (i-С15/i-С19) (см. рис. 2, Б). Картина распределения точек для данного соотношения идентична данным, приведенным на рис. 2, А. Функциональная зависимость i-С19*н-C18/i-С20 •Н-С17 = f(i-C15/i-C19) также позволяет дифференцировать нефти по нефтематеринским пластам. На графике (см. рис. 2, Б) точки, соответствующие нафтидам пермского возраста, группируются несколько выше по оси ординат по сравнению с нефтями девона за счет численных значений соотношений i-С15/i-С19 (зона 1а). Соотношение также позволило показать отличия нефтей нижнепермского возраста от терригенного нижнекаменноугольного возраста (С1v2-3) и карбонатного верхнедевонско-турнейского комплекса (C1t-D3fm) (см. рис. 2, Б).
Литература
1. Агафонова З.Г., Пунанова С.А. Изопреноидные углеводороды и н-алканы - показатели сходства нефтей и РОВ пород. - М.: ООО "Геоинформцентр". - 2002. - N° 4-5. - С. 10-17.
2. Аксенов А.А., Новиков А.А., Михалькова В.Н. Перспективы нефтегазоносности Волгоградского Заволжья / Геология нефти и газа. - 1993. - № 1. - С. 4-7.
3. Михалькова В.Н., Бражников О.Г., Берестецкая А.М. Выбор направлений поиска месторождений нефти и газа западной части Прикаспийской впадины / Геология нефти и газа. - 1990. - № 5. - С. 10-13.
4. Геохимия и перспективы нефтегазоносности палеозойских отложений западного обрамления Прикаспия / С.А. Пунанова, В.А. Чахмахчев, М.С. Зонн, З.Г. Агафонова // Геология нефти и газа. - 1996. - № 3. - С. 37-43.
5. Пунанова С.А., Чахмахчев В.А., Агафонова З.Г. и др. Геохимия нефти подсолевых отложений западного обрамления Прикаспия / Геология нефти и газа. - 1996. - № 7. - С. 27-35.
© З.Г. Агафонова. С.А. Пунанова, 2003
The article deals with investigations in the western framing of Рге-Caspian area with the purpose of oil and gas prospects evaluation of this area.
В статье Агафоновой З.Г. “Изопреноидные углеводороды и н-алканы - показатели зрелости нафтидов и типа углеводородных флюидов” в 5-м номере журнала “Геология нефти и газа” за 2003 г. на с. 38 в подрисуночной подписи к рис. 2 усл. знаку 1 соответствует вторая позиция, а усл. знаку 2 - первая.
Рис. 1. ГЕОХИМИЧЕСКИЕ ПОКАЗАТЕЛИ СТЕПЕНИ ЗРЕЛОСТИ НАФТИДОВ

Месторождения: Кудиновское, скв. 204, D3f1, 2870-2881 м. Добринское, скв. 41, D3f1 2628-2795 м; скв. 54, 2145-2175,5 м; 1 - нефти; 2 - аргиллиты; 3 - известняки
Рис. 2. ИЗОПРЕНОИДНЫЕ УГЛЕВОДОРОДЫ И н-АЛКАНЫ


А - показатели сингенетичности нефтей и РОВ пород; нефти: 1 - Д2vr, 2 - Д2gv, 3 - C1v-C2b, 4 - C1t-Д3f-fm; 5 - P1ar-s-k; породы: 6 - аргиллиты, 7- известняки; Б - показатели сходства нефтей; нефти: 1 - Д2vr, 2 - Д1gv, 3 - C1v-C2b, 4 - C1t - Д3f-fm; 5 - P1ar-k; породы: 6 - аргиллиты, 7- известняки; Месторождение: Русская платформа - Жирновское, скв. 176; 74 (D3f, 1763-1778; C1v, 1052-1058 м); Котовское, скв. 22 (D3f, 2618-2635 м); Добринское, скв. 41; 54 (D3f, 2628-2795, 2143-2173,5 м); Ломовское, скв. 17 (D3f, 2557 2600 м); Кудиновское, скв. 159; 204 (D2gv, 3060-3067 м; D3f, 2870-2881 м); Антиповское, скв. 108 (D3fm, 4730-4738 м); прибортовая моноклиналь - Первомайское, скв. 30 (P1k, 1538-1549 м); Липовское, скв. 10 (P1ar, 1785-1800 м); Павловское, скв. 12 (P1ar, 1576-1580 м); Лободинское, скв. 10(256) (P1ar-s, 2650-2662 м); Федоровское, скв. 15; 3 (С1bb, 4217-4227 м; P1ar-s, 2631-2642 м); Белокаменное, скв. 5; 36; 15 (D3f, 3556,6-3578,6 м; D3f, 3603-3621 м; D3f, 3603-3625 м); Грачевское, скв. 61; 452 (C1t, 3388-3390 м; D2vr, 4239-4246 м); Левчуновское, скв. 1 (C1t, 4176-4182 м), Алексеевское, скв. 1; 2 (C1t, 1,4221-4232; C1t, 4253-4290 м); Малышевское, скв. 1 (C1v, 4213-4223 м); Прибрежное, скв.1 (C1v, 4151-4154 м); склон Прикаспийской впадины - Ново-Никольское, скв.1 (C1t, 4816-4821 м); площадь: Ахтюбинская, Долгожданная, Ерусланская, Заволжская, Левчуновская, Упрямовская, Центральная, Юрьевская; литологические разности пород - аргиллиты, известняки и доломиты.