ОЦЕНКА ТРЕЩИНОВАТОСТИ ОПЫТНОГО УЧАСТКА 302 ЗАЛЕЖИ КУАКБАШСКОЙ ПЛОЩАДИ РОМАШКИНСКОГО МЕСТОРОЖДЕНИЯ
Р.С. Хисамов, М.М. Хамидуллин, С.В. Нечваль (ОАО "Татнефть”)
Для более полного изучения трудноизвлекаемых запасов нефти из залежей, рационального выбора скважин под бурение необходим анализ изменчивости геологического строения и развития трещиноватости коллекторов по площади. Одним из многочисленных методов оценки трещиноватости являются гидродинамические методы исследования скважин. Получаемые гидродинамические параметры характеризуют пласт как единый объект разработки и показывают улучшение или ухудшение особенностей поведения скважин в целом по области питания. Сравнение полученных результатов позволяет сделать ряд важных выводов, необходимых при разработке залежей.
Для расчета гидродинамических параметров 302 залежи Ромашкинского месторождения была применена методика Полларда (Хисамов Р.С., Сулейманов Э.И., Фархуллин Р.Г. и др., 2000.). Она наиболее полно отвечает процессам, происходящим в залежи. В модели Полларда давление в переходном периоде рассматривается как результат взаимодействия трех областей, которые развиты в пористо-трещиноватом пласте. Первую область образует система трещин вокруг скважины, вторую - трещинная система вдали от скважины и третью - матрица, которая питает трещины. Сущность обработки КВД по методике Полларда заключается в анализе процесса восстановления давления в скважине посредством построения и обработки основной и разностной кривых, характеризующих процесс фильтрации в системе призабойная зона - трещины - поры.
На основе результатов, полученных по методике Полларда, были построены карты условной раскрытости трещин (рис. 1), условных размеров блоков матрицы (рис. 2). Совместив эти карты, наблюдаем, что зоны с меньшими по раскрытости трещинами имеют более мелкие блоки, а зоны с большими по раскрытости трещинами - более крупные.
Зоны с большей раскрытостью трещин будут обводняться быстрее, и именно эти скважины имеют высокопроницаемую связь с подошвенной водой, блоки в работе скважины практически не участвуют и поэтому имеют больший размер, чем в зонах с меньшей раскрытостью трещин. Крупные блоки невключены в массообмен, поэтому остаются невыработанными.
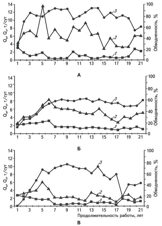
На достоверность результатов, полученных гидродинамическими методами, влияет множество факторов, могущих привести к значительным погрешностям при определении фильтрационных параметров пласта. В связи с этим для более детального анализа полученных результатов все скважины были разделены на три группы по степени раскрытости трещин (рис. 3):
I - > 0,150 см;
II - 0,001-0,150 см;
III - <=0,010 см.
Для каждой группы скважин были построены графики динамики добычи и обводненности от времени, начиная с 1-го года эксплуатации.
В результате анализа полученных графиков имеем следующее.
1. Скважины первой группы обводнились до 80 % на 2-й год эксплуатации и на протяжении всего срока работали с высоким процентом обводненности. Блоки не работают, имеется высокопроницаемая связь с подошвенной водой, отбор нефти в основном из трещин.
2. Скважины второй группы обводнились до 60 % только на 8-й год эксплуатации и в дальнейшем работали на том же уровне. Блоки матрицы включены в массообмен.
3. Скважины третьей группы обводнились до 60 % на 5-й год эксплуатации, в дальнейшем произошло даже некоторое снижение обводненности за счет лучшего массообмена между трещинами и матрицей.
Вытеснение нефти при хорошо развитой сквозной трещиноватости (большие размеры блоков и высокая раскрытость трещин) происходит только по трещинам, блоки в работе скважины практически не участвуют, что приводит к быстрому обводнению скважин вдоль простирания трещин. При малой раскрытости трещин и небольшом размере блоков конечная нефтеотдача увеличивается, возрастает безводный период и уменьшается объем отобранной воды. При отсутствии высокопроницаемой связи с подошвенной водой проработка блоков принудительная, а высокая проницаемость трещин при вытеснении нефти способствует охвату участков залежи по фронту.
© Р.С. Хисамов, М.М. Хамидуллин, С.В. Нечваль, 2007
For more complete recovery of hard to produce oil reserves and rational well selection for drilling it is required to undertake analysis of geological structure variability and reservoir fracturing growth by area. Among the numerous fracturing evaluation methods there are hydrodynamic methods of well testing. Obtained hydro- dynamic parameters characterize reservoir as a single exploitation object and demonstrate improvement or degradation of well behavior. Comparison of obtained results allows to make some important conclusions that is necessary for pools development. For calculating hydrodynamic parameters of pool 302 the Pollard’s procedure was used. Based on results of this procedure the maps of conventional fracture opening and conventional sizes of matrix blocks were constructed. For more detailed analysis of obtained results all wells were divided into three groups by fracture opening. As a result of analysis of diagrams constructed the following was obtained.
Wells with fracture opening exceeding 0,15 cm were flooded up to 80 % in the 2nd year of production and throughout this period operate with high percent of water cut. Blocks do not work, there is a highly permeable connection with bottom water, oil is produced mainly from fissures. Wells with fracture opening of 0,011-0,150 cm were flooded up to 60 % only in the 8th year of production and later on operated at the same level. Matrix blocks are included in mass transfer. Wells with fracture opening of 0,01 cm and lesser were flooded up to 60 % during the 5th year of production and subsequently even some decrease in water cut took place due to better mass transfer between fissures and matrix.
Рис. 1. КАРТА УСЛОВНОЙ РАСКРЫТОСТИ ТРЕЩИН

1 - изолинии с невысокой раскрытостью трещин, см*10 2
Рис. 2. КАРТА УСЛОВНОГО РАЗМЕРА БЛОКОВ МАТРИЦЫ

1 - небольшой размер блоков, см
Рис. 3. ДИНАМИКА ДОБЫЧИ СКВАЖИН С РАЗЛИЧНОЙ РАСКРЫТОСТЬЮ ТРЕЩИН

Раскрытость трещин, см: А -> 0,150; Б-0,011-0,150; В-< 0,010; дебит, т/сут: 1 - нефти, 2 - жидкости; 3- обводненность, %