ЦЕНА НЕОПРЕДЕЛЕННОСТИ ПРИ ПРОВЕДЕНИИ ГЕОЛОГО-РАЗВЕДОЧНЫХ РАБОТ НА НЕФТЬ И ГАЗ
Б.И. Тарбаев, С.Л. Садов (Институт социально-экономических и энергетических проблем Севера Коми НЦ УрО РАН)
Какова цена неопределенности - правомерен ли такой вопрос? Можно ли на него ответить? И существует ли возможность выполнить оценку неопределенности в некоторых стоимостных показателях? Нам представляется, что попытка ответа на данные вопросы не лишена смысла, в том числе сугубо практического.
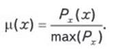
Начнем с того, что проведение геолого-разведочных работ во всех без исключения случаях осуществляется в условиях неопределенности независимо от того, осознают это хозяйствующие субъекты или нет. Уровень неопределенности может быть относительно низким или, наоборот, высоким, и от него будет зависеть риск финансовых потерь при инвестировании геологоразведочных работ. Современными математическими средствами неопределенность выражается как энтропия или, в случае использования аппарата теории нечетких множеств, как функция принадлежности μ(х). Мера неопределенности в обоих случаях распределяется в интервале от 0 до 1.
Уровень неопределенности справедливо рассматривать как меру приближения модели геологического строения объекта его реальному состоянию. Природные системы (а геологическая среда является таковой) относятся к категории плохо организованных. Их отличие от хорошо организованных состоит, прежде всего, в том, что они формируются и управляются одновременно многими факторами различной физической природы. Отождествление А.Ф. Дементьевым [1] геологического пространства с понятием “множество" следует трактовать в том смысле, что часть геологического физического пространства Земли, которое можно определить как статическое, есть ни что иное, как бесконечно большая совокупность элементов - точек, для каждой из которых исследователю представляется возможным зарегистрировать сколь угодно большое число свойств. В реальном пространстве может быть много пространств, отражающих то или иное физическое состояние. Такие пространства, в отличие от реальных, принято называть формальными. Они представляют собой конечное число точек, т.е. являются дискретными. От выбранной модели не требуется описания явления во всей полноте. Она отражает специфический подход, когда предпочтение отдается некоторым важнейшим чертам объекта, а второстепенные игнорируются. Так, при поиске и разведке залежей УВ в качестве модели используется 4-компонентная система, включающая следующие характеристики: геометрическую (условия залегания пластов), фильтрационно-емкостную (наличие пород-коллекторов и их проницаемость), изолирующую (флюидоупоры, удерживающие нефтегазовый флюид в ловушке) и, наконец, наличие непосредственно самого флюида.
Понятно, что накопленная для объекта информация лишь в некоторой степени свидетельствует об адекватности составленной на ее основе модели его реальному состоянию. Кроме того, очевидно, что по мере поступления новых данных степень адекватности возрастает, и при некотором объеме информации правомерно ставить вопрос о достаточности модели, понимая под этим уровень неопределенности, при котором в ходе интерпретации достигается приемлемый уровень ожидаемой эффективности инвестирования геолого-разведочных работ.
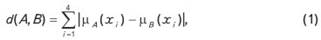
Степень адекватности модели реальным геологическим условиям в рамках описанной 4-компонентной системы для единичной площади можно выразить через расстояние Хемминга [2]:
![]()
где А - состояние полной определенности каждого из параметров (геометрии напластований L, фильтрационно-емкостных свойств М, флюидоупоров К, наличия нефтегазового флюида q), при которой они имеют значение μ(х) = 1; В - состояние, зафиксированное исследователем.
При этом для первого параметра можно построить график функции принадлежности μ(х), а для второго и третьего из-за отсутствия такой возможности лучше воспользоваться троичной моделью. Для четвертого целесообразно использовать специальную шкалу.
Рассмотрим эти процедуры в отдельности. Как показывает мировой опыт, при изучении геометрии напластований наивысшая эффективность достигается с помощью сейсморазведки, которая начиная со второй половины XX в. становится основным инструментом при поиске залежей нефти и газа. Установлено, что при увеличении протяженности сейсморазведочных профилей на единицу площади (при условии соблюдения качества работ) достигаются детализация и уточнение поверхности в смысле приближения модели к реальности, которые в целом подчиняются закону (рис. 1)
![]()
Другими словами, при малой протяженности сейсморазведочных профилей на единичной площади можно выполнить достаточно много построений, не противоречащих имеющейся информации, при затруднительности выбора одного их них в качестве предпочтительного. При увеличении же протяженности сейсморазведочных профилей происходит интенсивное увеличение надежности построенных моделей вплоть до уровня, когда дополнительные объемы сейсморазведки сколь-нибудь существенно построения не меняют. Исходя из этой объективной закономерности можно выполнить шкалирование функции принадлежности, используя численные показатели протяженности сейсмопрофилей на единичной площади, определившись со значениями пределов информационной достаточности (Тарбаев Б.И., Садов С.Л., 2006).
При построении графика и соответственно шкалы функции принадлежности показателя “наличие залежи УВ” целесообразно воспользоваться показателями, отражающими изменение плотности прогнозных ресурсов в пределах рассматриваемой территории, которые образуют соответствующий ряд. Если во главе этого ряда поставить промышленные запасы (как аналог свершившегося факта), то все последующие члены ряда по мере уменьшения плотности будут выражать предположения относительно уменьшающейся возможности открытия новых залежей вплоть до нулевой плотности, отрицающей возможность каких-либо открытий залежей нефти и газа. Такая конструкция логически приводит к вероятностному истолкованию показателя плотности прогнозных ресурсов в зависимости от его положения в упомянутом ряду. Во всяком случае, взаимосвязь плотности ресурсов и вероятности на языке теории множеств уместно рассматривать как отношение.
Для нефтегазоносной провинции на северо-востоке европейской части России при заданных специалистами интервалах группирования показателей плотности прогнозных ресурсов после приведения физических показателей к безразмерным величинам такая шкала приобретает следующий вид (табл. 1).
Однако вероятность может рассматриваться как величина, эквивалентная значениям функции принадлежности, поскольку “... несмотря на то, что нечеткие и вероятностные величины имеют разную природу, понятия плотности вероятности и функции принадлежности сравнимы" [3]. Поэтому можно записать

В таком случае устанавливается непосредственное соотношение (табл. 2).
Троичная модель для второго (наличие информации относительно фильтрационно-емкостных свойств) и третьего (наличие информации относительно флюидоупоров - покрышек) показателей имеет вид

Для построения пространственной модели неопределенности с использованием функции принадлежности исследуемую территорию необходимо разбить на единичные (элементарные) площади исходя из предположения однородности их геологических свойств и при соблюдении равенства формы и размера. Для каждой единичной площади по заданным показателям вычисляется расстояние Хемминга d(A,B), характеризующее степень приближения модели к реальному состоянию, эквивалентное дефициту информации, и, следовательно, состояние неопределенности и дефицита информации посредством функции принадлежности μ(х).
Для 4-компонентной системы (геометрия, фильтрационно-емкостные свойства, флюидоупоры, наличие или отсутствие УВ) показатели будет иметь примерно такой вид:

По формуле (1) получаем
d(А,В) = 0 + 0,5 + 0,5 + 0,9 = 1,9
и после нормирования имеем D= d(A,В)/4 ~ 0,5, что интерпретируется как наличие “дефицита информации” относительно полной определенности, выражаемого через функцию принадлежности μ(х) = 0,5.
В порядке эксперимента авторами статьи были выполнены пространственная и точечная оценки неопределенности состояния обследованности, представляющего главный поисковый интерес верхневизей-нижнепермского карбонатного комплекса Косью-Роговской впадины Предуральского краевого прогиба. В состав впадины входят различающиеся по геологическим характеристикам нефтегазоносные районы: Интинско- Лемвинский, Кочмесский, Воркутинский. В силу указанного обстоятельства такие показатели, как информационная достаточность при оценке достоверности геометрических построений и вероятности, вытекающей из различия в плотности прогнозных ресурсов в каждом из перечисленных районов, будут различаться.
При оценке текущей неопределенности использовались показатели плотности сейсморазведочных профилей на 1 км2, которые колебались в пределах от 0,478 до 1,036 км/км2 при принятом пороге информационной достаточности 8 км/км2. Промысловые характеристики пород соответствующего интервала разреза получены исходя из результатов бурения скважин, разномасштабных литолого-фациальных построений и плотности прогнозных ресурсов.
В качестве элементарной ячейки выбрана площадь 5x5 км, а их общее число составило 1390. Ячейки для удобства вычислений сгруппированы по принципу примерного равенства выполненных в их пределах геолого-геофизических работ. Процедура оценки “дефицита информации" для Косью-Роговской впадины в целом аналогична описанной. Состояние полной определенности эквивалентно значению функции принадлежности μ(х) = 1 для каждой из 1390 ячеек территории, значение текущей неопределенности для каждой ячейки оценено.
После вычисления расстояния Хемминга “дефицит информации”, т.е. разница между полной определенностью и оцененной экспериментально, в Косью-Роговской впадине составил минимальное значение в 54 элементарных ячейках (D= 0), что эквивалентно μ(х) = 1. В 167 элементарных ячейках D= 0,25 (μ(х) =0,75). В 884 элементарных ячейках D = 0,5 (μ(х) = 0,5). В 281 элементарной ячейке D= 0,75 (μ(х) = 0,25). И, наконец, в 4 ячейках D= 1, поскольку μ(х) = 0 (рис. 2).
В результате показатель “дефицита информации” по впадине в целом вычисляется по формуле

где N- число элементарных ячеек, в нашем случае равное 1390.
Результат однозначно свидетельствует о высоком уровне неопределенности или, выражаясь геологическим языком, о значительной недоизученности верхневизей-нижнеартинского комплекса Косью-Роговской впадины.
Последнее обстоятельство позволяет попытаться оценить неопределенность в денежном выражении. Используем в качестве исходной оценки значения прогнозных ресурсов, приписанных к Косью-Роговской впадине, принимая их как достоверные. Условимся, что в случае их перевода в запасы промышленных категорий будет достигнута полная определенность в рамках 4-компонентной системы, т.е. состояние μ(х) = 1. Затраты на перевод прогнозных ресурсов в промышленные запасы по данным организации, осуществляющей на северо-востоке европейской части России контроль за таким переводом, на 01.01.2006 г. составляют 400 р. за 1 т уел. топлива. С учетом плотности прогнозных ресурсов в пределах Косью-Роговской впадины затраты Z' составят 195 млрд р. (7,5 млрд дол.). Это значение следует рассматривать как эквивалентное полной определенности. Следовательно, затраты на преодоление “дефицита информации” будут соответствовать части этой величины D, вычисленной ранее по формуле (2), и равны Z = Z'D = 98 млрд р. (3,8 млрд дол.).
Однако
возможен вариант стоимостной оценки "дефицита информации” и в рамках
вероятностного подхода. Так, согласно приведенной в табл. 1 шкале
вероятностей обнаружения залежей УВ на северо- востоке европейской части
России, вероятность их обнаружения на рассматриваемой территории составляет
0,03. Тогда, воспользовавшись принципом связи между уровнем неопределенности,
выражаемым посредством функции принадлежности, и вероятностью, оценим
стандартное отклонение в виде доли величины математического ожидания ресурсов,
воспользовавшись формулой
где φ(μ) - функция связи (Тарбаев Б.И., Садов
С.Л., 2005). Исходя из принципа минимальной достаточности, аппроксимируем
функцию φ(μ) на интервале от
0 до значения близкого к 1 (но меньшей ее) линейной функцией вида кμ. Далее, накладывая
условие неотрицательности значений затрат в интервале 3σ, получим, что σ = Z/6. Принимая
вычисленные выше затраты на перевод прогнозных ресурсов в промышленные запасы Z как средние,
приходим к определению погрешности стоимостной оценки “дефицита информации” как
16 млрд р., и в итоге оценка Z получит рассеивание от минимального
значения 82 млрд р. до максимального 114 млрд р.
Подводя итоги изложенному, можно сделать вывод, что степень неопределенности рассматриваемой территории испытывает пространственную изменчивость и в целом весьма высока, что на геологическом языке означает ее основательную недоизученность, и споры, имеющие место среди специалистов различных компаний, претендующих на освоение ресурсов этой территории, не лишены оснований.
Литература
1. Дементьев Л.Ф. Математические методы и ЭВМ в нефтегазовой геологии. - М.: Недра, 1983.
2. Кофман А. Введение в теорию нечетких множеств. - М.: Радио и связь, 1982.
3. Нечеткие множества в моделях управления и искусственного интеллекта / Под ред. Д.А. Поспелова. - М.: Наука, 1986.
© Б.И. Тарбаев, С.Л. Садов, 2007
Is it possible to evaluate an uncertainty in some cost indices? By authors’opinion, an attempt to answer this question does not exclude some sense including practical one. On the basis of studying the model adequate to real geological conditions it was concluded that extent of uncertainty of territory under consideration is subject to spatial variability and as a whole rather high, that in geological sense means rather insufficient previous study, and that the discussions between specialists of different companies claiming for resource development of this territory have certain grounds. Therefore, the company having interest in long-term financial investments for oil and gas resources development of Kosiyu-Rogov basin before taking decision should start to take expenses and carry out some scope of exploration activity in order to decrease uncertainty. As an experiment, spatial and point evaluations of uncertainty concerning the main exploration interest of Upper Visean-Lower Permian carbonate complex of Kosiyu-Rogov depression of Ural foredeep were done. The depression comprises oil-and-gas- bearing areas differed by geological characteristics: In- tinsko-Lemvinsky, Kochmessky, Vorkutinsky. In virtue of indicated circumstance, such indices as information adequacy in evaluating reliability of geometric constructions and probability resulted from difference in forecast resources density in the above mentioned areas will be different.
Таблица 1 Соотношение плотности прогнозных ресурсов и вероятности их обнаружения
|
Плотность прогнозных ресурсов, тыс. т уел. топлива/км2 |
Вероятность Рх |
|
250 |
0,80 |
|
200 |
0,60 |
|
50 |
0,16 |
|
30 |
0,10 |
|
10 |
0,03 |
|
5 |
0,01 |
Таблица 2 Соотношение вероятности обнаружения залежей УВ и функции принадлежности
|
Вероятность Рх |
Значение функции принадлежности μ(x) |
|
0,80 |
0,80 |
|
0,60 |
0,60 |
|
0,16 |
0,16 |
|
0,10 |
0,10 |
|
0,03 |
0,03 |
|
0,01 |
0,01 |
Рис. 1. ГРАФИК ФУНКЦИИ ПРИНАДЛЕЖНОСТИ ДОСТАТОЧНОСТИ ДАННЫХ СЕЙСМОРАЗВЕДКИ ПО ИССЛЕДУЕМОЙ ТЕРРИТОРИИ

Рис. 2. СХЕМА ПОКАЗАТЕЛЯ НЕОПРЕДЕЛЕННОСТИ ПРИ ПОИСКАХ МЕСТОРОЖДЕНИЙ УВ. КОСЬЮ-РОГОВСКАЯ ВПАДИНА (верхневизей-нижнеартинский комплекс (C1v3-P1ar1)

Уровень неопределенности μ(х): 1-1,0; 2-0,75: 3-0,50; 4 - 0,25: 5-0; 6 - изолинии глубин залегания схематического контура поверхности. М.