ОСОБЕННОСТИ РАСПРЕДЕЛЕНИЯ ГЕОЛОГИЧЕСКИХ РЕСУРСОВ ПО ГАЗОНЕФТЕНОСНЫМ КОМПЛЕКСАМ СЕВЕРНЫХ РЕГИОНОВ ЗАПАДНОЙ СИБИРИ
С.А. Пунанова, Т.Л. Виноградова (ИПНГ РАН)
Целью данной статьи является сравнительная оценка геологических запасов УВ-скоплений газонефтеносных комплексов (ГНК) северных регионов Западной Сибири - нижне-среднеюрского, верхнеюрского, ачимовского и верхнего продуктивного (верхний апт, альб, сеноман, турон) для установления причин, приводящих к образованию отличных по геологическим запасам месторождений нефти и газа. Использованы Государственные балансы полезных ископаемых Российской Федерации по состоянию на 01.01.2002-2003 гг., результаты работ А.Э. Конторовича и др. (1975, 2001), М.Я. Рудкевича и др. (1985, 1988), Н.Н. Немченко и др. (2000), А.А. Нежданова и др. (2000), Н.В. Лопатина и др. (1997, 1999), А.М. Брехунцова и др. (2000, 2001), А.Н .Фомина и др. (2001), Г.Г. Шемина и др. (2001), Ю.Н. Карогодина и др. (2004, 2006), Л.В. Строганова и В.А. Скоробогатова (2004), В.А. Скоробогатова (1999), Ф.К. Салманова, Н.Х. Кулахметова и др. (2003) и др.
Авторы статьи ранее провели классификацию УВ-флюидов мезозойских ГКН по физико-химическим свойствам, общему УВ-составу и УВ-составу бензиновых фракций с выделением геохимических типов и подтипов (Пунанова С.А., Виноградова Т.Л., 2006). В результате была выявлена определенная зональность размещения УВ-скоплений различных химических типов, физико-химических свойств и фазового состояния. В нижне-среднеюрском ГНК присутствуют три зоны фазового состояния УВ: нефтяная (Н), переходная газоконденсатнонефтяная (ГКН) и газоконденсатная (ГК). В границах верхнеюрского и ачимовского комплексов на территории Надым-Пурской, Пур-Тазовской и Енисей-Хатангской НГО охарактеризованы две зоны УВ-скоплений - Н и ГКН. В отличие от юрских пластов, зона развития Н-скоплений в ачимовской пачке более значительна по площади и протягивается дальше на север. Нафтеновые конденсаты сеноманских отложений химического типа Б (по классификации Ал.А. Петрова) представлены тремя подтипами: трициклановыми, бициклановыми и моноциклановыми.
Установленные и прогнозируемые границы зон распространения УВ-скоплений различного фазового состояния в изученных ГНК севера Западной Сибири отвечают в основном градациям катагенетического преобразования исходного ОВ и его фациально-генетическому составу. Отложения нижне-среднеюрского возраста, содержащие в основном ОВ гумусовой природы (угленосные и субугленосные континентальные формации), классифицируются как газопроизводящие, что и привело к накоплению в этих отложениях крупных газовых и газоконденсатных залежей. Тип ОВ в отложениях позднеюрского возраста характеризуется как смешанный, гумусово-сапропелевый, являющийся источником преимущественно нефтяных скоплений. Наибольшие площади северной части Западно-Сибирского НГБ представлены тремя градациями катагенеза: МК2, МК3 и АК1-3. Трем зонам катагенетического преобразования ОВ в базальных горизонтах юры отвечают определенные по фазовому состоянию типы УВ-скоплений. Зоне умеренного катагенеза - нефтяные залежи, в зоне сильного мезокатагенеза преобладают ГКН-залежи. Зона апокатагенеза - это область присутствия газоконденсатных залежей с низким конденсатным фактором. Органическое вещество верхнеюрских отложений преобразовано гораздо меньше. Значительно развиты зоны градации катагенеза от МК1 до МК3. Нефтяные залежи встречены в зоне слабого мезокатагенеза (южная часть Надым-Тазовской области), а ГКН-залежи обнаружены в зоне умеренного мезокатагенеза (в северной части Надым-Пурской, северной и восточной частях Пур-Тазовской НГО). В ачимовских отложениях катагенез ОВ по направлению к центру варьирует от МК1 до МК3. От юры к мелу стадии преобразованности ОВ снижаются, и зона относительно высоких палеотемператур распространена ограниченно. В ачимовских отложениях ОВ характеризуется смешанным сапропелево-гумусовым составом и отвечает зоне “нефтяного окна”. Из геолого-геохимической характеристики мезозойских ГНК севера Западной Сибири можно сделать вывод о том, что комплексы отличаются фациальным составом, типом ОВ, содержанием Сорг, степенью преобразования, а также толщиной отложений и глубиной залегания (табл. 1).
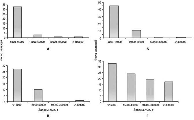
Учитывалось распределение геологических запасов УВ-сырья (категории А+В+С1) по жидким (нефть, конденсат) и газообразным УВ (свободный газ, конденсатосодержащий газ, растворенный газ). Для унификации расчетов, а также проведения всевозможных сопоставлений запасы по газообразным УВ, приведенные в миллионах кубических метрах, пересчитывались с помощью коэффициента в тысячи тонн. Анализ и типизация залежей по величине геологических запасов юрского ГКН показали, что в юрских отложениях установлены все четыре класса месторождений, тыс. т: мелкие (< 5000-15000), средние (15000-60000), крупные (60000-300000) и уникальные (> 300000). По фазовому состоянию - это Н-, ГКН- и ГК-скопления. Анализ распределения запасов по площади и разрезу юрских отложений севера Западной Сибири, иллюстрированный гистограммами распределения (рис. 1, А, Б), показал, что число залежей с мелкими запасами существенно выше, чем со средними, крупными и уникальными; намечается дифференциация залежей и по фазовому составу - нефтяные скопления по запасам в основном мелкие и средние, а ГКН и ГК - крупные и уникальные (рис. 2, А, Б). Преобладание месторождений с низкими запасами, выявленное авторами статьи на примере залежей двух НГК юры, не противоречит известному распределению Парето. По величине запасов, характеру их распределения и по связи запасов с фазовым типом скоплений наблюдаются отличия нижне-средне- юрских и верхнеюрских ГНК. Общее число открытых залежей в верхнеюрских отложениях значительно больше, чем в нижне-среднеюрских (соответственно 58 и 38 месторождений), выше и суммарные запасы по всем классам запасов, несмотря на то, что в нижне-среднеюрском НГК, в отличие от верхнеюрского, имеется одна уникальная по запасам залежь. Различные по величине УВ-скопления в двух НГК имеют разное фазовое состояние: в нижне-среднеюрских отложениях крупные и уникальные по запасам залежи исключительно ГКН и ГК, тогда как в верхнеюрских отложениях в группу крупных скоплений попадают как Н-, так и НГК-залежь.
На многопластовых месторождениях отсутствует преемственность в величине геологических запасов: например, если на месторождении Новопортовское уникальные запасы приурочены к отложениям J1-2, то в отложениях J3 - нет залежи. Аналогичная картина наблюдается и по Бованенковскому месторождению. Кроме того, крупные запасы в отложениях J3 вниз по разрезу в отложениях J1-2 на месторождении Новогоднее сменяются мелкими, а на месторождении Харампурское вообще отсутствует залежь; лишь на Уренгойском многопластовом месторождении наблюдаются близкие категории запасов - средние.
В результате статистической обработки величин запасов УВ- скоплений по площади и разрезу ачимовских отложений севера Западной Сибири установлено, что число залежей с мелкими запасами существенно выше, чем со средними и уникальными; отсутствует класс крупных запасов (см. рис. 1, В); по фазовому состоянию - Н-скопления по запасам в основном мелкие и средние, а ГКН - мелкие, средние и одно уникальное (см. рис. 2, В).
Общая сумма запасов в ачимовских отложениях значительно выше, чем в юрских (табл. 2). По мелким и средним группам минимальные запасы характерны для нижне-среднеюрского комплекса, а запасы в ачимовских и верхнеюрских отложениях очень близки. Суммарные же запасы юрских отложений по данным группам превышают таковые ачимовских залежей. Залежи с крупными запасами в ачимовских отложениях отсутствуют. Общая сумма запасов УВ в ачимовской толще существенно превосходит таковые обоих юрских комплексов за счет запасов в уникальном Уренгойском месторождении. Разница составляет почти 140 000 тыс. т, что соответствует одному крупному месторождению.
Распределение залежей по запасам в ачимовских отложениях, в отличие от юрских комплексов, не соответствует закономерности Парето. Отсутствует преемственность в величине запасов от нижне-среднеюрского комплекса до ачимовского (табл. 3). В ачимовских отложениях находится уникальное Уренгойское месторождение, в юрских ГНК - только среднее. Среднее по запасам в ачимовком НГК Новогоднее месторождение относится к группе крупных запасов в верхней юре и группе мелких запасов в нижне-среднеюрском комплексе. На многих месторождениях, где ачимовские отложения нефтегазоносные, залежи в юре вообще отсутствуют.
Верхний продуктивный комплекс (K2t,s-K1al,a) также существенно отличается от нижележащих отложений как по запасам (см. рис. 1, Г), так и по фазовому состоянию залежей (см. рис. 2, Г). Он характеризуется огромными запасами УВ-топлива, существенно превышающими таковые по всем группам, сосредоточенными в большом числе гигантских и уникальных месторождений, более широким спектром залежей по фазовому состоянию и преобладанием чисто газовых скоплений. На баланс поставлено 93 месторождения (168 залежей), которые по геологическим запасам представлены всеми классами: мелкими, средними, крупными, уникальными и гигантскими (> 1 млрд т). Спектр скоплений по фазовому состоянию также широк - Г, ГК, ГН, НГ, НГК, Н. Среди разнообразных УВ-скоп- лений преобладают газовые (55 залежей). Их число максимально в классе мелких залежей (26), далее по классам они убывают (17, 7, 5), также как и нефтяные. Чисто нефтяные залежи по запасам относятся только к группе средних и мелких. С рангом класса возрастает число ГК-залежей (от 1 до 6), ГН (от 2 до 4), появляются другие типы залежей. В группе гигантских и уникальных месторождений по фазовому состоянию преобладают ГК- и Г-скопления. Запасы УВ-топлива составляют ~ 23 млрд т.
Наиболее богата по запасам УВ-сырья сеноманская толща (около 18 млрд т). В ней обнаружено 17 крупных и 13 уникальных месторождений (вместе с гигантами). Характерной особенностью этой толщи является нарушение закономерности Парето для распределения запасов, что свидетельствует, на взгляд авторов статьи, о недооткрытии здесь месторождений с крупными, средними и мелкими группами запасов, т.е. о перспективах их поисков на этой территории в отложениях сеномана.
Отмеченное по разрезу юрских и ачимовских отложений несоответствие запасов в некоторых месторождениях также наблюдается и при сопоставлении запасов по всем мезозойским комплексам (табл. 4). Такие месторождения-гиганты по верхнему продуктивному комплексу, как Ямбургское, Медвежье, Заполярное, Русское, либо вообще не продуктивны в нижележащих комплексах, либо, например, Ямбургское, в ачимовских отложениях относится ко II группе запасов. Уникальные по верхнему продуктивному комплексу месторождения Северо-Комсомольское и Комсомольское в нижележащих ачимовских и юрских комплексах по запасам только мелкие. И лишь месторождение Уренгойское имеет уникальные запасы как в ачимовских, так и верхнемеловых отложениях, а в юрских скоплениях находится лишь средняя группа запасов.
Общие запасы УВ верхнего ГНК наиболее продуктивны и составляют более половины запасов УВ, сосредоточенных в мезозойских отложениях (68 %) (табл. 5), в то время как запасы УВ ачимовского комплекса составляют около 5 %, а юрского - 4,1 % общих мезозойских запасов, т.е. верхний комплекс, по сравнению с нижними комплексами, богаче их в 7,6 раз. Кроме того, верхний комплекс предпочтительно газоносен. Остальные 22,9 % запасов приходятся на неокомские отложения.
Разные по величине месторождений УВ существенно отличаются по площади распространения НГК.
Анализ пространственного распределения месторождений по величине запасов в нижне-среднеюрском и верхнеюрском ГНК (Виноградова Т.Л., Пунанова С.А., 2006) показал достаточно четкую связь со структурными особенностями региона (структурное районирование проведено по [2, 4]). Наиболее крупные месторождения приурочены к положительным структурам 1-го (мегавалы) и 2-го (мезовалы) порядков, а также к положительным структурам, осложняющим борта мегамоноклиналей. Так, Бо- ваненковское месторождение (крупное по запасам в отложениях J1-2) располагается на Бованенско-Нурминском мегавалу; Новопортовское (уникальное по запасам в отложениях J1-2) - на Южно-Ямальском мезовалу; Новогоднее месторождение (крупное по запасам в отложениях J3) установлено на Вынгапуровском мегавалу; Уренгойское (среднее по запасам в отложениях J1-2 и J3) - на Центрально-Уренгойском мезовалу. Харампурское месторождение (крупное по запасам в отложениях J3) размещается в Восточно-Пурской мегамоноклинали. Мелкие месторождения тяготеют к сводам и впадинам (мегапрогибы и прогибы). Немалое значение имеет присутствие выдержанной покрышки. Наличие в отложениях юры нефтематеринских отложений смешанного сапропелево-гумусового и гумусового составов и благоприятные палеотемпературные особенности способствовали образованию как чисто нефтяных, так и переходных по фазовому состоянию нефтегазоконденсатных скоплений. Отсутствие унаследованности и преемственности запасов в отложениях двух НГК юры, отмеченное ранее, возможно, связано с резкой перестройкой структурного плана на границе средней юры, а также со значительной глинизацией отложений верхней юры и ухудшением их коллекторских свойств в северо-западном направлении.
Ачимовская толща северных регионов Западно-Сибирского НГБ имеет свои литофациальные особенности (Лопатин Н.В., 1999; Строганов Л.В., 2004; [3]). Она характеризуется резкой фациальной неоднородностью, клиноформным строением, значительной протяженностью линзовидных тел в субмеридиональном направлении и разновозрастностью - от берриаса на востоке до готерива на западе. Большинство залежей в ачимовской толще представляет собой сложнопостроенные неантиклинальные ловушки, а резервуарами для них служат литологически экранированные песчаные пласты.
Сопоставление степени катагенетического преобразования ОВ ачимовских отложений показало, что уникальное по запасам и средние ГКН-месторождения приурочены к зоне умеренной стадии катагенеза (МК2) - это центральные и северные районы Надым-Пурской НГО. В юго-восточной части региона, в зоне слабого катагенеза (MK1), встречены средние по запасам нефтяные скопления, а в юго-западной - мелкие.
Анализ размещения месторождений УВ-флюидов с разными группами запасов в ачимовском НГК по площади изучаемой территории свидетельствует о том, что современные тектонические структуры не полностью контролируют распространение различных по запасам залежей (рис. 3). В отличие от юрских НГК, ачимовские скопления обусловлены в основном фациально-литологическим фактором. Выделены две зоны скоплений. Одна - с уникальными и средними запасами, представленная Н- и ГКН-скоплениями, - протягивается в меридиональном направлении в центральной части Надым-Тазовской НГО и охватывает с севера на юг Ямбургский мегавал и Центрально-Уренгойский мезовал, включая и его восточное обрамление. Именно здесь сосредоточена Восточно-Уренгойская зона с гигантским газоконденсатнонефтяным Уренгойским месторождением. Вторая - чисто нефтяная зона со средними запасами - развита в южной части Надым-Тазовской НГО. Она также простирается практически с юга на север в меридиональном направлении в границах Еты-Пуровского, Вынгапуровского и Варьеганско-Тагринского мегавалов.
Наличие нефтематеринских отложений и степень их катагенетического преобразования позволяют считать ачимовский продуктивный комплекс вполне самостоятельным. Распространение в ачимовской толще отличных по запасам месторождений контролируется в основном литофациальным фактором - наличием де- поцентральных клиноформных зон меридионального простирания [3].
В верхнем продуктивном комплексе характер размещения гигантских, уникальных и крупных скоплений существенно отличается от нижележащих комплексов.
Гигантские по запасам залежи в пространственном плане образуют два центра: Надым-Тазовский и Ямальский (рис. 4). Первый расположен в центральной части Надым-Тазовской области. Здесь обнаружены месторождения-гиганты: газовые - Медвежье, Ямбургское, Заполярное, газоконденсатное - Уренгойское и нефтегазовое - Русское. Второй центр, представленный месторождением-гигантом Бованенковским, размещается на п-ове Ямал. Уникальные и крупные залежи как в Надым-Тазовской НГО, так и на п-ове Ямал, образуют широкую концентрическую зону вокруг месторождений-гигантов. В этой зоне находится также небольшое число средних и мелких залежей. Основная часть залежей со средними и мелкими запасами образует внешнее кольцо, широким поясом окружая предыдущую зону. Наиболее крупные по запасам залежи верхнего ГНК приурочены к приподнятым частям крупных положительных структур - сводам, мегавалам и крупным валам. Меньшие по запасам скопления открыты на крупных локальных поднятиях, расположенных на тектонических седловинах, моноклиналях и впадинах. Сопоставление глубины водонефтяных и газоводяных контактов и высоты залежей, рассчитанных Ю.Н. Карогодиным [1], с геологическими запасами свидетельствует об их явной коррелируемости. Очертания выделенных зон, различающихся по категориям запасов, очень близки к изолиниям высоты залежей и положения ловушек по их глубине. Зоны максимальных запасов, образующие два центра - Надым-Тазовский и Ямальский, связаны с максимальной высотой ловушки, которая имела максимальную глубину погружения. Таким образом, величина скоплений в верхнем продуктивном комплексе при прочих благоприятных условиях контролируется геоструктурным фактором - высотой залежи и их глубиной.
Таким образом, по геологическим запасам, статистическим закономерностям распределения ресурсов, их пространственному размещению и фазовому состоянию скоплений каждый исследованный НГК мезозойских отложений северных регионов Западной Сибири является самостоятельным, а масштабность скоплений контролируется факторами, присущими каждому комплексу. Именно тектонические, литологофациальные и катагенетические особенности процессов нефтегазогенерации контролируют как фазовое состояние залежей, так и дифференцированность скоплений по величине геологических ресурсов.
Литература
1. Карогодин Ю.Н. Пространственно-временные закономерности концентраций гигантских скоплений нефти и газа Западной Сибири (системный подход) // Георесурсы. - 2006. - № 1 (18).
2. Конторович В.А. Тектоническое строение и история развития Западно-Сибирской геосинеклизы в мезозое и кайнозое / В.А. Конторович, С.Ю. Беляев, А.Э. Конторович и др. // Геология и геофизика. - 2001. - Т. 42. - № 11-12.
3. Нежданов А.А. Геология и нефтегазоносность ачимовской толщи Западной Сибири / А.А. Нежданов, B.А. Пономарев, Н.А. Туренков, C.А. Горбунов. - М.: Изд-во Академии горных наук, 2000.
4. Нефтяные и газовые месторождения СССР / Под ред. С.П. Максимова. - Кн. 2. - М.: Недра, 1987.
5. Фомин А.Н. Катагенез органического вещества и перспективы нефтегазоносности юрских, триасовых и палеозойских отложений северных районов Западно-Сибирского мегабассейна / А.Н. Фомин, А.Э. Конторович, В.О. Красавчиков // Геология и геофизика. - 2001. - Т. 42. - № 11-12.
© С.А. Пунанова, Т.Л. Виноградова, 2008
Geological-geochemical peculiarities of hydrocarbon systems of Mesozoic formations of northern regions of West Siberia are investigated. By geological reserves size, statistical regularities of resources distribution, their spatial location and phase state of accumulations, each studied oil and gas complex of Mesozoic formations of northern regions of West Siberia is independent, and extent of accumulation is controlled by factors typical of each specific complex. Tectonic, litho-facial and catagenetic peculiarities of oil and gas generation processes control both the phase state of pools and differentiation of accumulations by geological resources size. Data on geological reserves of hydrocarbon accumulations in Jurassic, Achimovsky and upper productive (Upper Aptian, Albian, Senomanian, Turonian) oil and gas complexes are summarized. Significant distinctions in a character of different sized oil and gas fields distribution in studied complexes were revealed. It is shown that category of geological reserves, regularities of spatial distribution of hydrocarbon resources and their phase state are controlled by factors typical of individually each complex.
Таблица 1 Геолого-геохимическая характеристика мезозойских газонефтеносных комплексов севера Западной Сибири (по Лопатину Н.В., Емиу Т.П., 1999; Строганову Л.В., Скоробогатову В.А., 2004; [3, 5])
|
Газонефтеносные комплексы (число залежей) |
Тип ОВ и содержание Сорг в глинистых разностях, % |
Формация** |
Преобладающая стадия катагенеза, R„, % |
Толщина формации, м |
Глубина залегания, м |
Число уникальных скоплений |
|
Верхний продуктивный комплекс, K1a3-K2t (168) |
Гумусовый*. сапропелево- гумусовый, Сорг = 1,2-2,0 |
1. Прибрежно-морская, песчано-алевритовая, сероцветная** 2. Прибрежно-континентальная, песчаноалевритоглинистая, серо- и темноцветная, субугленосная |
1. ПК2-ПК3, 0,3-0,5 2. ПК3-МК1 0,50-0,65 |
950-1150 |
500-2350 |
17*** |
|
Берриасс-нижне- валанжинский (ачимовская толща), K1b-v1 (38) |
Сапропелево-гумусовый, Сорг = 0,61-4,00 |
Мелководно- и прибрежно-морская, песчано-глинистая, сероцветная |
МК1-МК2, 0,65-0,80 |
100-500 (40-70) |
2500-3800 |
1 |
|
Верхнеюрский, J3 (58) |
Сапропелевый, гумусово- сапропелевый, Сорг = 3,0 |
Мелководно-морская, песчано-глинистая, сероцветная |
мк2, 0,65-0,85 |
50-400 |
2500-3950 |
|
|
Нижне-среднеюрский, J1-2 (38) |
Гумусовый, сапропелевогумусовый, Сорг = 3,0 |
Прибрежно-морская и континентальная, сероцветная, песчаноалевритоглинистая, субугленосная |
МК3, 0,85-1,15 |
500-2000 |
2900-5500 |
1 |
* Подчеркнут преобладающий тип ОВ.
** 1 - западная часть региона, 2 - восточная.
*** Суммарно уникальные и гиганты.
Таблица 2 Суммарные запасы УВ (по группам запасов) в ГНК севера Западной Сибири, тыс. т
|
Нефтегазоносные комплексы и подкомплексы |
Группы запасов |
Сумма запасов |
|||
|
мелкие (1) |
средние (II) |
крупные (III) |
Уникальные (IV) |
||
|
Верхний продуктивный (93/168) |
136175,66 (33) |
732129,35 (24) |
3103977,25 (19) |
19276012,90 (17) |
23248295,2 |
|
Туронский (5) |
9998,72 (2) |
64445,92 (2) |
Отсутствует |
328782,16 (1) |
403226,8 |
|
Сеноманский (74) |
141232,04 (30) |
410603,48 (14) |
2731525,16 (17) |
14896088,54 (13) |
18179449,2 |
|
Альбский (41) |
119115,53 (25) |
300405,29 (10) |
741122,61 (5) |
347283,52 (1) |
1507926,9 |
|
Аптский (48) |
119681,66 (26) |
457515,49 (14) |
777003,39 (6) |
1803491,16 (2) |
3157692,2 |
|
Ачимовский (38) |
104663,55 (27) |
322715,00 (10) |
Отсутствует |
1185307,20 (1) |
1612685,7 |
|
Юрский (76/96) |
239262,60 (78) |
452039,00 (14) |
437266,00 (3) |
346755,00 (1) |
1475322,6 |
|
Верхнеюрский (58) |
159050,40 (45) |
327370,00 (11) |
269079,00 (2) |
Отсутствует |
755499,4 |
|
Нижне-среднеюрский (38) |
80212,20 (33) |
124669,00 (3) |
168187,00 (1) |
346755,00 (1) |
719823,2 |
Примечание. Числитель - число месторождений, знаменатель - число залежей.
Таблица 3 Сопоставление групп запасов в ачимовском и юрских ГНК, тыс. т
|
Месторождение |
Ачимовские пласты |
Верхняя юра |
Нижняя и средняя юра |
||||||
|
Тип залежи |
Величина запасов |
Группа запасов |
Тип залежи |
Величина запасов |
Группа запасов |
Тип залежи |
Величина запасов |
Группа запасов |
|
|
Еты-Пуровское |
Н |
18426,0 |
II |
Н |
16606 |
II |
Н |
2535,0 |
I |
|
Северо-Пуровское |
ГКН |
23439,0 |
II |
Отсутствует |
|
|
Отсутствует |
|
|
|
Новогоднее |
Н |
24637,0 |
II |
Н |
107466 |
III |
Н |
12331,0 |
I |
|
Ямбургское |
Н |
26321,0 |
II |
Отсутствует |
|
|
Отсутствует |
|
|
|
Вынгаяхинское |
Н |
30469,0 |
II |
и |
13242 |
I |
" |
|
|
|
Самбургское |
Н |
39106,8 |
II |
и |
|
|
" |
|
|
|
Непонятное |
Н |
40684,2 |
II |
II |
|
|
" |
|
|
|
Северо-Самбургское |
Н |
41899,9 |
II |
и |
|
|
" |
|
|
|
Есетинское |
ГКН |
53444,8 |
II |
II |
|
|
" |
|
|
|
Уренгойское |
ГКН |
1185307,0 |
IV |
ГКН |
31842 |
II |
Н |
53780,2 |
II |
Таблица 4 Сопоставление групп запасов в верхнем продуктивном ачимовском и юрских НГК, тыс. т
|
Месторождение |
Верхний продуктивный комплекс |
Ачимовский комплекс |
Верхнеюрский комплекс |
Нижне-среднеюрский комплекс |
||||||||
|
Тип залежи |
Величина запасов |
Группа запасов |
Тип залежи |
Величина запасов |
Группа запасов |
Тип залежи |
Величина запасов |
Группа запасов |
тип залежи |
Величина запасов |
Группа запасов |
|
|
Уренгойское |
ГК |
4282608,24 |
IV |
ГКН |
1185307,2 |
IV |
ГКН |
31842 |
II |
Н |
53780 |
II |
|
Ямбургское |
Г |
3196582,50 |
IV |
Н |
26321,4 |
II |
Отсутствует |
- |
- |
ГК |
Приток |
Отсутствует |
|
Медвежье |
Г |
1263649,62 |
IV |
Отсутствует |
|
|
“ |
- |
- |
Отсутствует |
|
|
|
Заполярное |
Г |
1566453,90 |
IV |
ГК |
Категория С2 |
Отсутствует |
“ |
- |
- |
“ |
|
|
|
Русское |
нг |
1491184,04 |
IV |
Отсутствует |
|
|
“ |
- |
- |
“ |
|
|
|
Северо-Комсомольское |
НГК |
785815,55 |
IV |
Н |
1987,6 |
I |
Н |
1491 |
I |
Н |
553 |
I |
|
Комсомольское |
гн |
650549,12 |
IV |
Н |
5562,2 |
I |
Отсутствует |
- |
- |
Н |
619 |
I |
|
Губкинское |
гн |
241064,18 |
III |
Н |
1007,8 |
I |
Н |
2505 |
I |
Отсутствует |
|
|
Таблица 5 Запасы УВ в ГНК севера Западной Сибири, млрд. т
|
Комплекс |
|||
|
мезозойский |
Верхний продуктивный |
ачимовский |
нижне-средне- юрский и верхнеюрский |
|
~ 34 |
~ 23 |
~ 1,6 |
~1,4 |
|
100,0 % |
68,0 % |
4,7-5,0 % |
4,1 % |
Рис. 1. РАСПРЕДЕЛЕНИЕ МЕСТОРОЖДЕНИЙ ПО ЗАПАСАМ В ГНК

А - нижне-среднеюрском. Б - верхнеюрском. В - ачимовском. Г- верхнем продуктивном
Рис. 2. РАСПРЕДЕЛЕНИЕ МЕСТОРОЖДЕНИЙ ПО ЗАПАСАМ С УЧЕТОМ ФАЗОВОГО СОСТОЯНИЯ ЗАЛЕЖЕЙ В ГНК

А - нижне-среднеюрском. Б- верхнеюрском. В- ачимовском, Г- верхнем продуктивном; зоны фазового состояния УВ: 1 - Н, 2 - НГК, 3 - ГН, 4 - НГ, 5 - ГК, 6 - Г, 7 – ГКН
Рис. 3. СХЕМАТИЧЕСКАЯ КАРТА РАЗМЕЩЕНИЯ УВ-СКОПЛЕНИЙ С РАЗНЫМИ ЗАПАСАМИ В АЧИМОВСКОМ ГНК

Группы месторождений по начальным запасам, тыс. т: 1 - уникальные (>300000), 2 - средние (15000*60000), 3 - мелкие (5000-15000), 4 - очень мелкие (< 5000): тип залежи: 5- нефтяной, 6 - газоконденсатнонефтяной, 7- газовый: 8-граница распространения ачимовских отложений (по Бочкареву В.С., 1999); 9- месторождения с запасами категории С2: 10- площади, где получены притоки: 11- зона газоконденсатнонефтяных и нефтяных залежей с максимальными запасами: 12-зона нефтяных залежей со средними запасами месторождения (по запасам, начиная с минимальных): 1 - Центрально-Пурпейское, 2- Харампурское, 3-Юмантыльское, 4 - Губкинское, 5-Вынгапуровское, 6-Ресурсное, 7- Южно-Тарасовское, 8-Суторминское, 9-Романовское. 1./0-Северо-Памялияхское. 11 -Северо-Комсомольское, 12-Таркосейское, 13-Апакопурское, 14- Восточно-Медвежье. 15-Пякутинское, 16-Карасевское, 17-Стерховое. 18-Тагринское, 19-Южно-Пурпейское+Умсейское, 20 - Комсомольское, 21 - Вьюжное, 22 - Южно-Таркосалинское, 23 - Западно-Таркосалинское, 24 - Южно-Хулымское, 25- Северо-Соимлорское, 26- Мало-Перевальное. 27- Крайнее. 28- Еты-Пуровское. 29- Северо-Пуровское. 30- Ярайнерское, 31 - Новогоднее, 32-Ямбургское. 33-Вынгаяхинское. 34-Самбургское, 35-Непонятное, 36-Северо-Самбургское, 37-Есетинское, 38-Уренгойское, 45-Ямсовейское; площади, где получены притоки: 39-Заполярное, 40-Песцовое. 41 - Ен-Яхинское; месторождения с запасами категории C2: 42-Южно-Ярайнерское, 43-Ново-Пурпейское. 44- Мало-Пякугинское, 46 - Верхне-Надымское, 47- Верхне-Харловское
Рис. 4. СХЕМАТИЧЕСКАЯ КАРТА РАЗМЕЩЕНИЯ УВ-СКОПЛЕНИЙ С РАЗНЫМИ ЗАПАСАМИ В ВЕРХНЕМ ПРОДУКТИВНОМ ГНК (по Строганову Л.В.. Скоробогатову В.А., 2004)

Группы месторождений по начальным запасам. тыс. т. 1 - гиганты (> 1 000 000 000). 2 - уникальные (> 300 000), 3 - крупные (60 000-300 000), 4 - средние (15 000-60 000). 5- мелкие (< 15 000): 6 - условная граница между северными и центральными районами; 7 - внешний контур продуктивности комплекса; 8 - граница между высоко- и низкоперспективными зонами; граница зон с различными запасами УВ: 9 - установленная. 10 - предполагаемая; зоны преимущественного развития УВ-скоплений: 11 - гигантских. 12 - крупных и уникальных, 13 - мелких и средних; месторождения: 1 - Малыгинское, 2-Сядорское. 3-Тасийское. 5 - Южно-Тамбейское. 6 - Западно-Тамбейское. 7-Харасавэйское. 8- Крузенштерновское, 9 - Бованенковское. 10 - Северо-Бованенковское, 11 - Восточно-Бованенковское. 12 - Верхне-Тиугейское, 13-Западно-Сеяхинское, 14-Нерестинское, 15- Нейтинское, 16- Арктическое. 17-Средне-Ямальское, 18 - Нурминское, 19 - Нулмуяхинское, 20 - Каменномысское. 21 - Мало-Ямальское. 22- Новопортовское, 23 - Утреннее, 24 - Геофизическое. 25 - Содетско-Ханавейское. 26- Минховское, 27-Тотаяхинское, 28 - Антипаютинское, 29 - Семаковское, 30 - Западно-Мессояхское, 31 - Восточно-Мессояхское, 32 - Южно-Мессояхское, 33- Перекатное. 34- Парусовое, 35 - Ямбургское, 36 - Харвутинская плошадь, 37- Северо-Уренгойское. 38-Уренгойское. 39-Западно-Песцовое, 40-Тазовское, 41 - Заполярное, 42-Западно-Заполярное, 43-Русское. 44 - Южно-Русское. 45 - Ново-Часельское. 46 - Танусалинское, 47 - Медвежье, 48- Пангодинское, 49- Юбилейное, 50- Ямсовейское, 51 - Северо-Часельское, 52- Береговое, 53 - Хадырьяхинское, 54 - Пырейное, 55- Восточно-Таркосалинское. 56 - Ханчейское. 57- Верхне-Часельское, 58- Северо-Парусовое, 59- Северо-Комсомольское, 60- Верхне-Пурпейское, 61 - Барсуковское, 62 - Комсомольское, 63 - Губкинское, 64 - Западно-Таркосалинское, 65 - Тарасовское. 66 - Еты-Пуровское, 67-Тэрельское. 68-Харампурское, 69-Фестивальное. 70-Вынгаяхинское. 71 - Новогоднее, 72-Вынгапуровское, 73-Муравленковское, 74- Юрхаровское, 75-Находкинское, 76- Ярайнерское, 77-Холмистое, 75-Усть-Часельское, 79 - Южно-Хадырьяхинское. 80- Южно-Геологическое, 81 - Тапское. 82 - Северо-Губкинское, 83- Южно-Пырейное. 84- Восточно-Харвутинское, 85- Усть-Юрибейское, 86- Ростовцевское, 87-Южно-Крузенштерновское, 88-Восточно-Бугорное, 89-Мессояхское, 90-Гыданское, 91 - Штормовое, 92-Южно-Танловское, 93- Пякяхинское, 94 - Спорышевское, 95- Северо-Соленинское, 96- Восточно-Минховское, 97- Южно-Тарасовское; по месторождениям 19, 36 и 58 данные по запасам отсутствуют