КОНДЕНСАТЫ ГЛУБОКИХ ГОРИЗОНТОВ ЮЖНО-КАСПИЙСКОЙ ВПАДИНЫ
А.И. Алиев (ГНКАР)
Южно-Каспийская впадина представляет собой крупную область прогибания земной коры в системе альпийского подвижного пояса с мощностью осадочного выполнения до 22-24 км. В ее пределах выявлены крупные месторождения нефти и газа (газоконденсата) с запасами 100-500 млн т уел. топлива и более. В конце XX в. на западном борту впадины в азербайджанской части акватории Южного Каспия были открыты крупнейшие нефтегазовые месторождения Азери-Чираг-Гюнешли с доказанными извлекаемыми запасами > 1 млрд т уел. топлива и газоконденсатное - Шах-Дениз с запасами > 1 трлн м3 газа и 300 млн т конденсата.
Выявленные в Южно-Каспийской впадине залежи в основном связаны с отложениями продуктивной (красноцветной) толщи среднего плиоцена.
Газоконденсатные залежи на западном борту впадины встречаются преимущественно в погруженных зонах на глубине 3500-6500 м и характеризуются значительным содержанием конденсата в газовой фазе (до 350-450 г/м3) при пластовым давлении до 70-85 МПа и более и температуре > 75-80 °С (Алиев А.И., Меликов О.Г., 1974). Наибольшим содержанием конденсата в газовой фазе характеризуются залежи, содержащие нефтяные оторочки при равных термобарических условиях (Карадаг, VIII горизонт 180 г/м3; ПК свита 280 г/м3; Бахар, X горизонт 180 г/м3; Пирсагат, VIII горизонт 380 г/м3; Булла-море, VIII горизонт 450 г/м3 и др.).
На глубоководном месторождении Шах-Дениз, открытом в 1999 г., газоконденсатные залежи выявлены в свите перерыва продуктивной толщи (средний плиоцен) на глубине 6500 м с выходом конденсата 400-500 г/м3 при пластовом давлении 90 МПа и температуре 115 °С. Подавляющее большинство газоконденсатных залежей на западном борту Южно-Каспийской впадины предельно насыщены жидкими УВ при пластовом давлении, равном давлению начала конденсации. Выход светлых фракций, выкипающих до 300 °С, достигает 90 % и более. По групповому УВ-составу конденсаты западного борта Южно-Каспийской впадины имеют метановое основание и относятся к ароматико-нафтенометановому типу. В зависимости от глубины и термобарических параметров залежей, их плотность изменяется в пределах 738,0-822,4 кг/м3 (табл. 1).
На восточном борту Южно-Каспийской впадины в пределах Юго-Западной Туркмении газоконденсатные залежи встречаются в широких интервалах глубин (1600-4500 м) с содержанием конденсата в газовой фазе 50-400 г/м3 при пластовом давлении 20-60 МПа и температуре 60-105 °С. Наибольшим содержанием конденсата в газовой фазе (397 г/м3) характеризуется газоконденсатная залежь нижней красноцветной толщи месторождения Барса-Гельмес при пластовом давлении 60 МПа и температуре 105 °С. (табл. 2). Геотермический режим восточного борта впадины, в отличие от западного, характеризуется повышенной термальной активностью (Aliyev A.I., Aliyev Е.А., Khayrulin R.Kh., 2005) и, в этой связи, глубина преимущественного развития газоконденсатных залежей в Юго-Западной Туркмении несколько меньше, чем в Азербайджане.
Конденсаты восточного борта Южно-Каспийской впадины в основном легкие (плотность 725-806 кг/м3) с содержанием светлых фракций до 100 %. Содержание бензина в конденсатах в отдельных случаях достигает 80 % и более. По групповому УВ-составу относятся к ароматико-нафтенометановому и нафтенометановому типам.
На основании анализа большого фактического материала по газоконденсатным залежам Южно-Каспийской впадины рассмотрены особенности изменения физико-химических свойств конденсатов с ростом глубины залежей, составлены серии графиков, указывающих на корреляционную связь между физико-химическими свойствами конденсатов и термобарическими параметрами залежей.
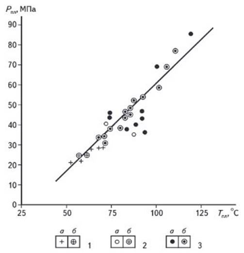
Так, с ростом температуры и давления залежей увеличивается содержание конденсата в газовой фазе (рис. 1).
В газоконденсатных залежах при начальном пластовом давлении до 30 МПа и температуре до 70 °С содержание конденсата в газовой фазе не превышает 100 г/м3 даже при наличии нефтяной оторочки (Котур-Тепе Восточный, I горизонт).
При пластовом давлении 30-40 МПа и температуре 70-85 °С содержание конденсата в газовой фазе изменяется в пределах 100-200 г/м3.
Газоконденсатные залежи с содержанием конденсата > 200 г/м3 встречаются при пластовом давлении > 45 МПа и температуре > 85 °С.
В газоконденсатных залежах с начальным пластовым давлением > 50 МПа и температурой > 100 °С содержание конденсата в газовой фазе превышает 300 г/м3, достигая в отдельных случаях 400-450 г/м3 (Булла-море, VIII горизонт; Шах-Дениз, свита перерыва; Котур-Тепе Западный, нижняя красноцветная свита).
Содержание конденсата в газовой фазе, наряду с термобарическими параметрами, зависит от количества и химической природы жидкой фазы в залежах. В тех случаях, когда в залежах отсутствует нефтяная оторочка, при высоких термобарических параметрах газовая фаза может оказаться недонасыщенной и, следовательно, будет характеризоваться относительно низким выходом конденсата при значительном превышении начального пластового давления над давлением начала конденсации. Этим, по-видимому, можно объяснить некоторое отклонение точек от линии, характеризующей содержание конденсата в газоконденсатных залежах с нефтяной оторочкой (см. рис. 1). Так, в залежах ПК свиты карадаг и НК4-НК5 месторождения Окарема отсутствуют нефтяные оторочки и выход конденсата при начальных пластовых давлениях 45 МПа составляет соответственно 120 и 158 г/м3.
Следует отметить, график температура - давление можно использовать при прогнозировании нефтяной оторочки в газоконденсатных залежах по продукциям первых разведочных скважин (см. рис. 1).
Можно также полагать, что открытые на больших глубинах Южно-Каспийской впадины газоконденсатные залежи при высоких термобарических параметрах пласта будут содержать значительное количество конденсата в газовой фазе, превышающее, в подавляющем большинстве случаев, 350-400 г/м3. Об этом свидетельствует открытая на глубине 6500 м газоконденсатная залежь в свите перерыва продуктивной толщи месторождения Шах-Дениз, где содержание конденсата в газовой фазе превышает 400 г/м3 при пластовом давлении 90 МПа и температуре 115 °С.
С ростом глубины залежей, наряду с увеличением содержания конденсата в газовой фазе, будут происходить значительные качественные изменения, и при высоких термобарических параметрах пласта в газе будут растворимы все более высококипящие УВ, т.е. изменятся фракционный состав и плотность конденсата.
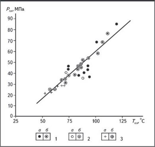
Выход бензиновых фракций (НК-175 °С) в конденсатах зависит от термобарических параметров залежей. При начальном пластовом давлении залежей 30 МПа и температуре 70 °С содержание бензиновых фракций в конденсатах составляет > 70 %, за исключением конденсата I-III горизонтов месторождения Калмас, значительно отличающегося и по другим физико-химическим свойствам от конденсатов всех известных газоконденсатных залежей Южно-Каспийской впадины (рис. 2).
При начальном пластовом давлении залежей 30-40 МПа и температуре 70-85 °С содержание бензиновых фракций в конденсатах несколько снижается, изменяясь в пределах 50-70 %. При давлении > 45 МПа и температуре > 85 °С содержание бензиновых фракций в конденсатах составляет < 50 %.
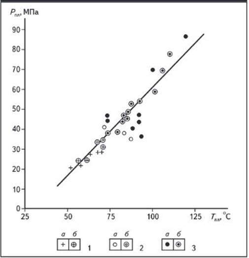
В зависимости от фракционного состава конденсатов их плотность изменяется в широких пределах и контролируется также термобарическими параметрами залежей.
Так, с ростом пластового давления и температуры плотность конденсатов увеличивается от 725 до 822 кг/м3 (рис. 3). По изменению плотности конденсатов выделяются те же самые термобарические зоны, что и на основании предыдущих графиков, т.е. при начальном давлении залежей до 30 МПа и содержании бензиновых фракций в конденсатах > 70 % их плотность не превышает 740 кг/м3. При содержании бензиновых фракций в пределах 50-70 % и пластовом давлении 30-40 МПа плотность конденсатов изменяется в пределах 740-760 кг/м3.
В условиях высокого пластового давления в залежах, превышающего 40-45 МПа, когда в конденсатах растворимы более высококипящие УВ и выход бензиновых фракций не превышает 50 %, значительно растет плотность конденсатов, составляя > 760 кг/м3, а в подавляющем большинстве случаев - 780-800 кг/м3 и более. На месторождении Булла-море на западном борту Южно-Каспийской впадины в газоконденсатной залежи VIII горизонта с нефтяной оторочкой на глубине 6090 м плотность конденсата 822,4 кг/м3 при пластовом давлении 85 МПа и температуре 110 °С (выход конденсата 450 г/м3).
Таким образом, в нефтегазоносных осадочных бассейнах основными контролирующими параметрами физико-химических свойств и содержания конденсатов в залежах, помимо соотношения жидкой и газовой фазы и их химической природы, являются термобарические параметры пласта. Из анализа обобщенных графиков изменения физико-химических свойств конденсатов и термобарических параметров газоконденсатных залежей с возрастанием глубин их залегания по западному и восточному бортам Южно-Каспийского впадины можно сделать следующие выводы (рис. 4, 5): газоконденсатные залежи в пределах Южно-Каспийской впадины встречаются в интервалах глубин 1600-6500 м при начальном пластовом давлении 20-90 МПа и температуре > 45-115 °С;
выявленные газоконденсатные залежи характеризуются аномально высоким начальным пластовым давлением, превышающим условное гидростатическое
давление до 20-25 МПа при среднем градиенте 0,012-0,016 МПа/м;
выход конденсата в газоконденсатных залежах закономерно увеличивается с ростом глубины; при этом, наибольшим выходом конденсата характеризуются газоконденсатные залежи с нефтяными оторочками;
с увеличением глубины залегания залежей и начальных термобарических параметров пласта, в связи с возрастанием растворимости в газовой фазе более высококипящих УВ, происходят значительные изменения фракционного состава конденсатов: в них закономерно уменьшается содержание бензиновых фракций с НК-175 °С (эти изменения наиболее ярко выражены начиная с глубины 2500 м), что, в свою очередь, приводит к увеличению с глубиной плотности конденсатов;
изменение физико-химических свойств конденсатов с глубиной зависит от химической природы жидкой фазы УВ-систем в залежах; с ростом глубины и, в этой связи, термобарических параметров залежей в групповом УВ-составе конденсатов увеличивается содержание метановых и ароматических УВ, ввиду их лучшей растворимости в газовой фазе, достигая в сумме 75-80 % на глубине 5000 м.
Таким образом, приведенные фактические данные позволяют прогнозировать особенности термобарических условий и физико-химических свойств конденсатов газоконденсатных залежей в глубоких недрах Южно-Каспийской впадины, что имеет важное практические значение при разведке и разработке залежей на больших глубинах.
© А.И. Алиев, 2008
According to author, in oil-and-gasbearing basins the main controlling parameters of physico-chemical properties and condensate content in reservoirs apart from liquid and gaseous phase ratio and their chemical nature are the thermo- baric formation parameters. From diagram analysis of changing physico-chemical properties of condensates and thermobaric parameters of gas-condensate reservoirs with increased depth of their occurrence along the western and eastern flanks of South-Caspian depression it was concluded the following: gas-condensate reservoirs within South-Caspian depression are found in intervals from depths of 1600-6500 m at initial formation pressure of 20-90 MPa and temperature exceeding 45-115 °C;
revealed gas-condensate reservoirs are characterized by abnormally high initial formation pressure;
condensate output in gas-condensate reservoirs is naturally increased with depth; the maximum condensate output is characteristic for gas-condensate reservoirs with oil fringes;
with increased depth and initial thermobaric parameters due to high solubility in gaseous phase of high temperature boiling hydrocarbons there took place significant changes in fractional composition of condensates, gasoline fractions content is naturally decreased resulting in increased condensate density with depth;
change of physico-chemical properties of condensates with depth depends on chemical nature of liquid phase of hydrocarbon systems in reservoirs.
Таблица 1 Физико-химические свойства конденсатов западного борта Южно-Каспийской впадины
|
Месторождение, залежь |
Средняя глубина, м |
Начальные пластовые параметры |
Фракционный состав конденсатов, % |
Групповой УВ-состав конденсатов, % |
Плотность конденсата, кг/м3 |
||||||
|
Рпл, МПа |
Tпл °с |
Выход конденсата, г/м3 |
бензин, НК-175 °С |
лигроин, 175-220 °С |
керосин, 220-300 °С |
ароматика |
нафтен |
метан |
|||
|
1 |
2 |
3 |
4 |
5 |
6 |
7 |
8 |
9 |
10 |
11 |
12 |
|
Карадаг: VII (ГКН) |
3290 |
39,0 |
85 |
180 |
58,0 |
14,0 |
19,5 |
11,3 |
33,5 |
55,2 |
738-790 |
|
НКП(ГКН) |
4100 |
41,2 |
91 |
126 |
62,5 |
11,0 |
13,2 |
13,3 |
33,0 |
53,7 |
790-810 |
|
ПК (ГК) |
4300 |
45,0 |
95 |
120 |
49,5 |
13,0 |
24,5 |
23,5 |
21,0 |
55,5 |
776-800 |
|
Зыря: ПК (ГКН) |
4450 |
46,0 |
97 |
280 |
57,0 |
14,0 |
19,5 |
10,2 |
23,8 |
66,0 |
753-798 |
|
Бахар: |
|
|
|
|
|
|
|
|
|
|
|
|
VI (ГК) |
3750 |
38,5 |
88 |
140 |
50,0 |
13,0 |
11,0 |
21,0 |
33,0 |
46,0 |
769 |
|
VII (ГК) |
3850 |
40,0 |
90 |
178 |
48,5 |
16,5 |
10,5 |
19.5 |
34,5 |
46,0 |
773 |
|
X (ГКН) |
4380 |
45,0 |
96 |
180 |
42,8 |
14,1 |
24,3 |
10,0 |
25,5 |
64,5 |
749-777 |
|
Южная: |
|
|
|
|
|
|
|
|
|
|
|
|
VI (ГК) |
2584 |
29,1 |
75 |
100 |
48,2 |
11,5 |
21,6 |
19,1 |
35,9 |
45,0 |
805 |
|
НКП(ГК) |
3448 |
35,6 |
91 |
182 |
57,0 |
15,0 |
22,0 |
13,0 |
29,0 |
58,0 |
750-758 |
|
ПК (ГК) |
3680 |
37,5 |
86 |
95 |
54,0 |
16,5 |
21,0 |
13,0 |
33,0 |
54,0 |
771-773 |
|
Дуванный: V(ГK) |
2600 |
43,0 |
76 |
100 |
53,0 |
15,0 |
24,5 |
18,0 |
31,0 |
51,0 |
780-782 |
|
Калмас: I-III (ГК) |
1750 |
20,7 |
44 |
20 |
10,0 |
60,0 |
20,0 |
7,0 |
55,0 |
38,0 |
764-792 |
|
Пирсаагат: VII (ГКН) |
3841 |
60,0 |
80 |
380 |
45,0 |
11,0 |
20,0 |
20,0 |
20,0 |
60,0 |
769-782 |
|
Карабаглы: VI (ГКН) |
3405 |
41,5 |
74 |
80 |
64,5 |
13,0 |
14,0 |
16,0 |
25,0 |
59,0 |
743-766 |
|
Кюрсангя: |
|
|
|
|
|
|
|
|
|
|
|
|
I (ККН) |
2726 |
40,5 |
59 |
100 |
54,5 |
24,0 |
10,0 |
12,4 |
52,4 |
35,2 |
734-772 |
|
III (ГКН) |
2960 |
47,4 |
76 |
100 |
68,0 |
10,0 |
12,5 |
18,0 |
15,0 |
67,0 |
772 |
|
Локбатан: ПК (ГКН) |
3340 |
35,0 |
84 |
86 |
58,1 |
22,4 |
14,0 |
22,0 |
23,0 |
55,0 |
772 |
|
Дуванный-море: НКП(ГК) |
4200 |
49,0 |
90 |
190 |
54,0 |
14,0 |
22,0 |
12,3 |
21,5 |
66,2 |
780 |
|
Булла-море: |
|
|
|
|
|
|
|
|
|
|
|
|
V(ГК) |
4800 |
53,2 |
90 |
380 |
51,0 |
16,0 |
27,0 |
14,0 |
39,8 |
46,3 |
807,8 |
|
VII (ГК) |
5800 |
71,3 |
105 |
343 |
48,0 |
18,0 |
20,0 |
13,6 |
34,8 |
51,7 |
814,8 |
|
VIII (ГКН) |
6090 |
85,0 |
110 |
450 |
46,0 |
22,0 |
24,0 |
14,3 |
37,7 |
48,1 |
822,4 |
|
Шах-Дениз: СП (ГК) |
6500 |
90,0 |
115 |
450 |
16,0 |
15,0 |
28,0 |
15,5 |
24,5 |
60,0 |
808,4 |
Таблица 2 Физико-химические свойства конденсатов восточного борта Южно-Каспийской впадины
|
Месторождение, залежь |
Средняя глубина, м |
Начальные пластовые параметры |
Фракционный состав конденсатов, % |
Групповой УВ-состав конденсатов, % |
Плотность конденсата, кг/м3 |
||||||
|
Рпп, МПа |
Тпп, °С |
Выход конденсата, г/м3 |
бензин, НК-175 °С |
лигроин, 175-220 °С |
керосин, 220-300 °С |
ароматика |
нафтен |
метан. |
|||
|
1 |
2 |
3 |
4 |
5 |
6 |
7 |
8 |
9 |
10 |
11 |
12 |
|
Челекен Западный: |
|
|
|
|
|
|
|
|
|
|
|
|
V-VI (ГКН) |
1600 |
20 |
54 |
82 |
82,5 |
10,5 |
7,0 |
10 |
30 |
60 |
729 |
|
Котур-Тепе Центральный: |
|
|
|
|
|
|
|
|
|
|
|
|
II (ГК) |
1680 |
21 |
53 |
51 |
87,5 |
9,0 |
3,5 |
8 |
55 |
37 |
725 |
|
VI (ГК) |
2170 |
28 |
65 |
65 |
76,0 |
11.0 |
13,0 |
6 |
41 |
53 |
727 |
|
Котур-Тепе Восточный: |
|
|
|
|
|
|
|
|
|
|
|
|
Г (ГК) |
2140 |
24 |
58 |
82 |
74,0 |
13,0 |
13,0 |
7 |
52 |
41 |
749 |
|
Д (ГК) |
2290 |
25 |
63 |
82 |
74,0 |
12,0 |
14,0 |
7 |
31 |
62 |
729 |
|
I (ГКН) |
2350 |
29 |
70 |
110 |
72,0 |
11.0 |
13,0 |
9 |
37 |
54 |
735 |
|
II (ГК) |
2450 |
30 |
72 |
109 |
72,0 |
12,0 |
12,0 |
10 |
37 |
53 |
735 |
|
III (ГК) |
2470 |
30 |
72 |
124 |
73,0 |
13,0 |
14,0 |
10 |
36 |
54 |
729 |
|
СК (ГК) |
3560 |
45 |
85 |
220 |
51,1 |
16,0 |
32,5 |
11 |
27 |
62 |
760 |
|
НК (ГК) |
3260 |
47 |
85 |
205 |
48,0 |
13,5 |
21,5 |
9 |
30 |
61 |
760 |
|
Котур-Тепе Западный: |
|
|
|
|
|
|
|
|
|
|
|
|
НК (ГКН) |
3880 |
55 |
95 |
443 |
31,5 |
18,5 |
50,0 |
15 |
38 |
47 |
806 |
|
Барса-Гельмес: |
|
|
|
|
|
|
|
|
|
|
|
|
Д (ГК) |
2600 |
34 |
71 |
114 |
64,0 |
15,0 |
20,0 |
8 |
42 |
50 |
758 |
|
III (ГК) |
2550 |
35 |
72 |
143 |
68,0 |
12,0 |
15,0 |
11 |
39 |
50 |
751 |
|
НК (ГКН) |
4540 |
60 |
105 |
397 |
28,0 |
16,0 |
32,0 |
17 |
25 |
58 |
795 |
|
Окарем: |
|
|
|
|
|
|
|
|
|
|
|
|
НК1-НК2 (ГК) |
2550 |
31 |
73 |
170 |
64,5 |
11,0 |
18,0 |
10 |
42 |
48 |
740 |
|
НК3 (ГКН) |
2650 |
43 |
74 |
148 |
36,5 |
16,5 |
25,0 |
13 |
38 |
49 |
789 |
|
НК4-НК5 (ГК) |
2750 |
45 |
75 |
158 |
37,5 |
12,5 |
20,4 |
11 |
43 |
46 |
789 |
|
Камышлджа: |
|
|
|
|
|
|
|
|
|
|
|
|
НК5 (ГКН) |
3150 |
48 |
95 |
166 |
36,0 |
16,0 |
27,0 |
12 |
33 |
55 |
791 |
|
Кызыл-Кум: |
|
|
|
|
|
|
|
|
|
|
|
|
lll-llla (ГК) |
1700 |
23 |
59 |
82 |
64,5 |
16,5 |
14,0 |
7 |
28 |
65 |
745 |
|
Б.Жданова: |
|
|
|
|
|
|
|
|
|
|
|
|
НК (ГК) |
3106 |
40 |
80 |
212 |
38,0 |
16,0 |
27,0 |
8 |
35 |
57 |
785 |
Рис. 1. ИЗМЕНЕНИЕ СОДЕРЖАНИЯ КОНДЕНСАТА В ГАЗОВОЙ ФАЗЕ В ЗАВИСИМОСТИ ОТ ТЕРМОБАРИЧЕСКИХ ПАРАМЕТРОВ ГАЗОКОНДЕНСАТНЫХ (а) И ГАЗОКОНДЕНСАТНО-НЕФТЯНЫХ (б) ЗАЛЕЖЕЙ

Содержание конденсата, г/м3: 1 - до 100; 2- 100-200; 3- >200
Рис. 2. ИЗМЕНЕНИЕ ВЫХОДА ФРАКЦИИ НК-175 °С (БЕНЗИНА) В КОНДЕНСАТАХ ГАЗОКОНДЕНСАТНЫХ (а) И ГАЗОКОНДЕНСАТНО-НЕФТЯНЫХ (б) ЗАЛЕЖЕЙ В ЗАВИСИМОСТИ ОТ ТЕРМОБАРИЧЕСКИХ ПАРАМЕТРОВ ПЛАСТОВ

Выход фракции, %: 1 - до 50; 2- 50-70; 3 - > 70
Рис. 3. ИЗМЕНЕНИЕ ПЛОТНОСТИ КОНДЕНСАТА ГАЗОКОНДЕНСАТНЫХ (а) И ГАЗОКОНДЕНСАТНОНЕФТЯНЫХ (б) ЗАЛЕЖЕЙ В ЗАВИСИМОСТИ ОТ ТЕРМОБАРИЧЕСКИХ ПАРАМЕТРОВ ПЛАСТОВ

Плотность конденсата, кг/м3: 1 - 725-740; 2- 740-760; 3- 760-815
Рис. 4. ИЗМЕНЕНИЕ ФИЗИКО-ХИМИЧЕСКИХ СВОЙСТВ КОНДЕНСАТОВ И ТЕРМОБАРИЧЕСКИХ ПАРАМЕТРОВ ГАЗОКОНДЕНСАТНЫХ (I) И ГАЗОКОНДЕНСАТНО-НЕФТЯНЫХ (2) ЗАЛЕЖЕЙ ЗАПАДНОГО БОРТА ЮЖНО-КАСПИЙСКОЙ ВПАДИНЫ

Рис. 5. ИЗМЕНЕНИЕ ФИЗИКО-ХИМИЧЕСКИХ СВОЙСТВ КОНДЕНСАТОВ И ТЕРМОБАРИЧЕСКИХ ПАРАМЕТРОВ ГАЗОКОНДЕНСАТНЫХ (1) И ГАЗОКОНДЕНСАТНО-НЕФТЯНЫХ (2) ЗАЛЕЖЕЙ ВОСТОЧНОГО БОРТА ЮЖНО-КАСПИЙСКОЙ ВПАДИНЫ
