СОВРЕМЕННЫЕ ПОДХОДЫ К МОДЕЛИРОВАНИЮ НЕФТЕНАСЫЩЕННОСТИ СЛОЖНОПОСТРОЕННЫХ ЗАЛЕЖЕЙ С ЦЕЛЬЮ СОЗДАНИЯ ГИДРОДИНАМИЧЕСКИХ МОДЕЛЕЙ
М.А. Грищенко (ООО “ТННЦ ТНК-ВР”)
Задачи совершенствования разработки месторождений на основе современных информационных технологий предъявляют все более высокие требования к качеству геолого-гидродинамических моделей. В настоящее время гидродинамическое моделирование и прогноз технологических показателей разработки для надежности и точности прогнозирования нефтеизвлечения на всех стадиях проектирования рекомендуется проводить на базе действующих геологических моделей месторождений, в основе которых лежат структурная модель и модель насыщенности.
При использовании геологической модели для гидродинамических расчетов возникает проблема разного толкования понятия водонефтяного контакта (ВНК) у геологов и гидродинамиков. Геологическое понятие ВНК получают на основе статической двухмерной геологической модели, которая используется для расчета геологических запасов УВ, исходя из принципа, что притоки нефти выше поверхности ВНК должны иметь промышленное значение. Это значит, что выше ВНК во всех коллекторах коэффициент нефтенасыщенности (Кн) должен быть больше граничного значения (Kнгр).
В процессе трехмерного гидродинамического моделирования появляется динамическое понятие контакта между нефтью и водой, которое соответствует уровню появления подвижной нефти при используемой технологии добычи. Это значит, что выше динамического ВНК коэффициент нефтенасыщенности должен быть больше значения остаточной нефтенасыщенности (Кно). Для динамического ВНК ближе определение, предложенное С.Д. Пирсоном и J.B. Jennings [3]. Именно это понятие заложено в схему расчетов в пакетах гидродинамического моделирования Eclipse, More, VIP и других, в которых требуется, чтобы поверхность ВНК была практически горизонтальной. Уровень динамического ВНК в залежи ближе к зеркалу чистой воды (ЗЧВ), чем уровень геологического ВНК.
При построении трехмерных геологических моделей определение геологического ВНК затруднено в связи с существованием переходных зон, поэтому для согласования геологических и гидродинамических расчетов нефтенасыщенность должна быть рассчитана не до уровня геологического ВНК, а до ЗЧВ с постепенным уменьшением Кн от Кнгр до 0.
В последнее время при создании трехмерных геологических моделей стали использовать зависимости изменения нефтенасыщенности коллекторов как функции удаленности от ВНК или ЗЧВ для различных классов коллекторов, разделенных по фильтрационно-емкостным свойствам, и создавать модели переходных зон. При создании моделей переходных зон наиболее трудной является задача определения положения ЗЧВ, поскольку все предлагаемые методики являются экспериментальными разработками отдельных авторов и не имеют официального признания в практике работ по моделированию насыщенности залежей.
Рассмотрим основные методические приемы моделирования насыщенности сложнопостроеннных залежей УВ на основе моделей переходных зон, которые разрабатывались и применялись в Тюменском нефтяном научном центре (ТННЦ) в процессе создания геологических моделей месторождений Нижневартовского района. Технологии моделирования насыщенности активно развивались одновременно с развитием программных продуктов трехмерного геологического моделирования нефтегазовых месторождений, начиная с 2000 г. За этот период произошли существенные изменения методических приемов, а также трансформация взглядов на методику создания моделей насыщения как основы для гидродинамических расчетов.
Наиболее достоверный способ оценки характера насыщения заключается в определении граничных значений нефтенасыщенности (Кнгр) по кривым фазовых проницаемостей для нефти и воды, полученных для полного диапазона фильтрационно-емкостных свойств каждого продуктивного пласта [2].
Другой способ основан на знании критического значения коэффициента водонасыщенности (Квкр) по данным капиллярометрических исследований на образцах керна, при котором фазовая проницаемость по воде равна 0, а по нефти - 1. Указанные два способа не имеют широкого применения в силу малочисленности или полного отсутствия специальных исследований по фазовым проницаемостям и капиллярометрическим исследованиям образцов на месторождениях Западной Сибири.
Третий способ оценки характера насыщения, наиболее распространенный в Западной Сибири, является статистическим и заключается в сопоставлении значений удельного электрического сопротивления (УЭСп) и показаний метода потенциалов собственной поляризации (Асп) по прослоям с качественными испытаниями, где получены притоки нефти или воды. В качестве границы разделения коллекторов по характеру насыщения или берется или одно граничное значение УЭСп (РПГр) практически безводной нефти, или получают уравнение регрессии Рпгр = f (Асп). Далее по установленным петрофизическим зависимостям производится расчет коэффициентов насыщения по всему фонду скважин месторождения.
Модель насыщенности на основе модели переходной зоны создается по фактическим скважинным данным с учетом особенностей геологического строения месторождения. Модель переходной зоны является результатом анализа ВНК по площади, это физическая закономерность изменения Кн по высоте залежи от уровня ЗЧВ в зависимости от фильтрационно-емкостных свойств коллекторов: пористости и проницаемости. Моделирование переходной зоны - сложная задача, оно осуществляется только при создании трехмерных геологических моделей насыщенности.
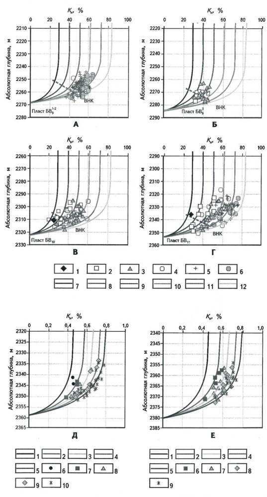
Моделирование насыщенности на основе моделей переходных зон было осуществлено в ТННЦ на Гун- Еганском (пласты БВ91-2, БВ93, БВ101-2, БВ11), Никольском (пласты БВ101, БВ102) и Самотлорском (пласты АВ11-2- АВ4-5) месторождениях. На Гун-Еганском и Никольском месторождениях обоснование Кнкр на уровне ВНК (КнкрВНК) было затруднено ввиду отсутствия капиллярных кривых при единичных замерах фазовых проницаемостей. Для определения Кнкр было построено сопоставление водонасыщенности, пористости и положения над ЗЧВ для пластов, в которых при испытании получены притоки чистой нефти и воды (рис. 1).
Положения ЗЧВ определяли для прослоев толщиной > 2 м, охарактеризованных достоверными определениями по данным геофизических исследований скважин (ГИС) значениями УЭСп и коэффициента пористости (Кп). Данные модели получены для ряда пластов БВ91-2, БВ93, БВ101-2, БВ11 Гун-Еганского и БВ101, БВ102 Никольского месторождений (рис. 2).
Математически данные модели выражаются следующими формулами:
Кв = Кво+( 1 - Кво)*exp(-0,12dh) (Гун-Еганское),
Кв = Кво+( 1 - Kво)*ехр(-0,12dh)(Никольское),
где Кв - коэффициент водонасыщенности, доли ед.; Кво - коэффициент остаточной водонасыщенности, доли ед., определяемый по зависимости Кво = f(Kn); dh- расстояние от ЗЧВ, м.
Модели переходных зон пластов БВ91-2, БВ93, БВ101-2, БВ11 Гун-Еганского месторождения отличаются только положением ЗЧВ.
На Никольском месторождении зависимость Кп = f (Кво) непосредственно по данным керна получить не удалось из-за малого числа определений. В связи с этим, данная зависимость получена из комплексного анализа керновых определений и результатов обработки ГИС.
На моделях переходных зон вынесено положение контакта. Коэффициенты Кнвнк изменяются от 24 % при граничной пористости 16 % до 48 % при максимальной пористости 26 %. При этом среднее значение составляет 36-38 %, что соответствует средним значениям данного параметра, установленного по кривым фазовой проницаемости и капиллярным кривым для аналогичных отложений Западной Сибири (см. рис. 2).
Трехмерные модели насыщения для пластов Гун-Еганского и Никольского месторождений создавались согласно принятым петрофизическим зависимостям с учетом разработанных моделей переходных зон. Для расчета куба нефтенасыщенности в программном комплексе PETREL предварительно создавался вспомогательный куб абсолютных значений геологического пространства, где в каждую ячейку модели было занесено значение ее абсолютной отметки. Для каждой группы коллекторов конкретного пласта на основе las-файлов, перемасштабированных на трехмерную сетку, находилась зависимость Кн = f (Кп, абсолютная отметка) путем построения графиков зависимости от уровня ЗЧВ для различных интервалов пористости с шагом 2 %. Для построения зависимости предварительно отбирались данные по достоверности: формировалась выборка из вертикальных скважин, удлинение которых < 30 м, и выборка по толщине пропластков > 2 м, не затронутых обводнением и результатами разработки месторождения.
Дальнейшее моделирование куба нефтенасыщенности производилось с использованием полученных зависимостей Кн = f (Кп, абсолютная отметка) для конкретного класса пористости коллекторов, которые могли применяться также и в качестве тренда. Моделирование осуществлялось внутри каждого интервала пористости, начиная с класса наименьшей пористости и заканчивая классом коллекторов с наивысшей пористостью. Интерполяция проводилась с использованием алгоритма Moving Average (interpolation).
На Самотлорском месторождении моделирование насыщения было выполнено с использованием данных по капиллярометрии, определения которых проведены практически по всему разрезу: от пластов АВ11-2 - АВ4-5 до пласта ЮВ1 включительно. Коэффициент нефтегазонасыщенности коллекторов вычислялся по керну и ГИС. По образцам керна нефтегазонасыщенность оценивалась через Кво по методу капиллярометрии, дающему значение остаточной (неснижаемой) водонасыщенности практически во всем диапазоне фильтрационно-емкостных свойств коллекторов.
Для Самотлорского месторождения было рассчитано два варианта трехмерной модели насыщенности: в первом использована методика, основанная на модели переходной зоны, разработанной ЦГЭ [1], во втором - расчет насыщенности с использованием j-функции, рассчитанной в ТННЦ.
Модель переходной зоны (ЦГЭ) для группы гидродинамически связанных пластов АВ11-2- АВ4-5 построена по выборке коллекторов с толщиной > 5 м, удельное электрическое сопротивление которых определяется уверенно (рис. 3). В выборку вошли вертикальные скважины, не затронутые обводнением и влиянием разработки. Уровень ЗЧВ принят условно на 20 м ниже ВНК, что соответствует -1700 м. Зона стабильного нефтенасыщения отстоит от ЗЧВ на расстоянии 25-35 м в зависимости от Асп коллекторов. Значение Кнг в зоне предельного насыщения постоянно и не меняется для конкретного интервала Асп. В переходной зоне наблюдается резкое уменьшение Кнг по мере приближения к ВНК и уровню чистой воды. Диапазон колебания уровня ВНК только за счет изменения свойств пород составляет > 15 м, значение коэффициента нефтенасыщения на уровне ВНК меняется от 35 до 60 %.
Математически данная модель выражается формулой:

где Кв - коэффициент водонасыщенности, доли ед.; Кп - коэффициент пористости, доли ед.; Н - абсолютная высота ячейки, для которой производится расчет Кв, м; -1700 - уровень ЗЧВ, м.
Трехмерная модель насыщения для пластов группы АВ11-2 - АВ4-5 Самотлорского месторождения создавалась в программном комплексе Irap RMS в четыре этапа. На первом этапе рассчитывался куб индекса насыщения, представляющий собой три зоны: газ, нефть и вода, который в дальнейшем использовался для подсчета запасов нефти и газа. На втором этапе - вспомогательный куб абсолютных значений геологического пространства. На третьем этапе производился расчет предварительного куба насыщенности в калькуляторе для трехмерных свойств в целом от уровня ЗЧВ по формуле модели переходной зоны без учета данных скважин. В качестве параметров пористости и гипсометрического положения использовались кубы пористости и абсолютных отметок геологического пространства соответственно. На четвертом этапе уточнялся предварительный куб насыщенности с привлечением данных по скважинам только в тех зонах, которые соответствовали индексам насыщения нефть и газ.
Расчет насыщенности с использованием J-функции был произведен на основе данных капиллярометрии. Используя J-функцию, можно преобразовать ряд кривых капиллярного давления (Pк) по данному коллектору в кривую отношения водонасыщенности к /функции по формуле
![]()
где J - функция Леверетта от водонасыщенности; Pкпл - капиллярное давление в пластовых условиях, Па; К - проницаемость, мД; Ф - пористость, доли ед.; у - поверхностное натяжение нефть - пластовая вода, дин/см; θ - угол смачиваемости, град.
Используя данные капиллярометрии, были получены обобщенные зависимости /функции для пластов АВ11-2, АВ13, АВ2-3 и АВ4-5. Для расчета J-функции были отобраны замеры, соответствующие только коллекторам по граничному значению пористости (Кпгр), которые для пластов АВ11-2 и (АВ13 - АВ4-5) составили 19,6 и 21,6 % соответственно. Согласно условиям, в выборку для построения зависимостей вошли: для пласта АВ11-2 - 30, AB13 - 22, АВ2-3 - 40 и АВ4-5 - 35 образцов (таблица).
Полученная зависимость J = f(Кв) для указанных пластов имеет общий вид: У = аКв-b (рис. 4).
Следует отметить, что для пласта АВ11-2 выделено две самостоятельных зависимости для группы слабоглинистых коллекторов (Асп > 0,6) и глинистых коллекторов (Асп < 0,6), для группы пластов АВ13, АВ2-3 и АВ4-5 также получено по две зависимости для различных групп коллекторов: с коэффициентом пористости < 0,26 и > 0,26.
Из уравнения кривой J-функции получено отношение между во- донасыщенностью, проницаемостью и пористостью для любого данного значения h выше ЗЧВ:

где Кв - значения водонасыщенности, доли ед.; К - проницаемость, мД; Ф - пористость, доли ед.; γ - поверхностное натяжение нефть - пластовая вода, дин/см; θ - угол смачиваемости, град.; h = -1700 - Н (-1700 м - условный уровень ЗЧВ, м); Н - абсолютная высота ячейки, м; ρв, ρн - плотность воды и нефти соответственно при пластовых условиях, г/см3; а, b - коэффициенты.
Таким образом, зная коэффициенты а и b, полученные из уравнений зависимости J-функции от водонасыщенности, по результатам капиллярометрии для соответствующих пластов можно рассчитать значения водонасыщенности по всему объему залежи от уровня ЗЧВ (-1700 м) (см. таблицу).
Для оценки расчетов нефтенасыщенности результаты, полученные по У-функции, и модели переходной зоны (ЦГЭ) [1] были сопоставлены со скважинными данными, рассчитанными по петрофизическим зависимостям (скв. 538 и 40Ц). Было отмечено, что нефтенасыщенность, рассчитанная через J-функцию, имеет лучшую сходимость с расчетными значениями в скважинах, чем расчеты по модели переходной зоны ЦГЭ (рис. 5, А). Максимальные отклонения коэффициента нефтенасыщенности, рассчитанные по /функции, не превысили 5 %, составляя в среднем 2-3 %. Для расчетов Кн по модели переходной зоны отмечается преимущественное занижение расчетных данных по всему интервалу, максимальные отклонения достигают 17 % (см. рис. 5, Б).
Куб насыщенности рассчитывался на калькуляторе для трехмерных свойств, где в качестве значений пористости и проницаемости использовались соответствующие трехмерные свойства. Далее расчетный куб насыщенности уточнялся с учетом данных по скважинам, как и в первом варианте работы. В результате выполненных расчетов были получены трехмерные свойства нефтенасыщенности по группе гидродинамически связанных пластов АВ11-2 - АВ4-5 Самотлорского месторождения.
На основе данных капилляро- метрии была рассчитана высота столба подьема воды или переходной зоны над уровнем капиллярного давления Рк = 0 (атм), в зависимости от значений Кв для пластов группы АВ11-2- АВ4-5 Самотлорского месторождения, по формуле

где hпз - высота переходной зоны, м; Кв - значения водонасыщенности, доли ед; К- проницаемость, мД; Ф - пористость, доли ед.; γ - поверхностное натяжение нефть - пластовая вода, дин/см; θ - угол смачиваемости, град.
Результаты расчетов в виде графиков зависимости высоты переходной зоны от водонасыщенности представлены на рис. 6. Для пластов АВ11-2, АВ13, АВ2-3 было получено по две группы зависимостей для разных классов пористости, а для пласта АВ4-5 - единая зависимость для всех коллекторов. Отмечено, что наибольшая высота переходной зоны выделяется в пласте АВ11-2: по коллекторам с пористостью < 25 % она достигает 30-35 м, а по коллекторам с улучшенными емкостными свойствами (Кп > 0,25) различия в высоте переходной зоны; в коллекторах с хорошими емкостными свойствами (Кп > 0,26) высота не превышает 3 м, а в глинистых коллекторах (Kп < 0,26) - достигает 9-12 м.
Сходство строения переходной зоны по двум верхним пластам объясняется их генетическим родством, для обоих пластов характерны резкая фациальная изменчивость как по латерали, так и в разрезе, развитие зон глинизации пласта, которые имеют мозаичное распространение по площади. В нижних пластах, которые характеризуются большей однородностью фильтрационно-емкостных свойств, высота переходной зоны в меньшей степени зависит от качества коллектора. По пласту АВ2-3 для разных классов коллекторов и для пласта АВ4-5 для всех коллекторов высота переходной зоны не превышает 6-8 м. Анализ графиков позволяет рекомендовать создание двух самостоятельных моделей переходных зон по верхним (AB11-2, АВ13) и нижним (АВ2-3, АВ4-5) пластам.
Таким образом, создание моделей переходных зон на рассмотренных месторождениях позволило спрогнозировать насыщенность в тех участках залежей, где определение коэффициента насыщения было затруднено по ряду причин (толщина пропластков < 2 м, брак ГИС и др.), а также в переходной зоне, где определение Кн по общепринятым методикам было невозможно.
Моделирование нефтенасыщенности с использованием описанных зависимостей Кн = f(Kn, абсолютная отметка) и J-функции позволило оценить высоту и размеры по площади переходной зоны, характер распределения насыщенности ниже уровня принятого геологического ВНК, а также величину геологических запасов между геологическим ВНК и уровнем остаточной нефтенасыщенности, которые на сегодняшний день ушли из области интересов разработчиков.
Анализ моделей переходных зон позволяет подчеркнуть, что положение ВНК меняется в зависимости от пористости пласта, при этом отметка ЗЧВ остается неизменной. Назрело решение о необходимости разработки методических приемов по вопросу определения уровня ЗЧВ, поскольку все предлагаемые варианты являются экспериментальными разработками отдельных авторов и не имеют официального признания в практике работ по моделированию насыщенности залежей.
Следует считать, что модели насыщенности, построенные с использованием зависимостей изменения нефтенасыщенности коллекторов как функции удаленности от ЗЧВ для коллекторов различных классов по фильтрационно-емкостным свойствам на основе создания моделей переходных зон, наиболее достоверны и наиболее полно отвечают современным требованиямтрехмерного геологического и гидродинамического моделирования. При наличии данных капиллярометрии рекомендуется расчет насыщенности производить с использованием J-функции.
Литература
1. Дьяконова Т.Ф. Проблемы обоснования водонефтяного контакта по материалам геофизических исследований скважин при построении детальных геологических моделей. / Т.Ф. Дьяконова, С.И. Билибин и др. // Каротажник. - 2004. - № 3-4.
2. Петерсилье В.И. Методические рекомендации по подсчету геологических запасов нефти и газа объемным методом / В.И. Петерсилье, В.И. Пороскун, Г.Г. Яценко. - Москва-Тверь: Изд-во ВНИГНИ, НПЦ “Тверьгеофизика”, 2003.
3. Jennings J.B. Capillary Pressure Techniques Application to Exploration and Development Geology // AAPGBull. - 1987. - Oct. - Vol. 71.
© M.A.Гришенко, 2008
Transition zones modeling on discussed fields allowed to forecast saturation in those parts of pools where determination of saturation coefficient is complicated by some reasons as well as in transition zone where this coefficient determination by generally accepted procedures was not possible.
Oil saturation modeling using described relationships K„ = f(Kn, abs.mark) and У-functions, allowed to evaluate height and sizes by area of transition zone as well as a character of saturation distribution below accepted geological water-oil contact (WOC). It is required to evaluate geological reserves between geological WOC and residual oil saturation level which are presently beyond the developers interests scope.
Analysis of transition zones models allows to emphasize that WOC position is changed depending on porosity, however water table mark remains permanent. It is necessary to elaborate procedures of water table mark determination since all the proposed variants appear to be experimental efforts of some specialists and don’t have legal recognition in practice of pools saturation modeling.
Saturation models using relations of oil reservoir saturation change as a function of remoteness from water table for reservoirs of different classes by rock-and-fluid properties on the basis of transition zones modeling are the most reliable and most fully comply with present-day requirements of three-dimensional geological and hydrodynamic modeling.
Таблица Сводные данные для расчета водонасыщенности (Кв)
|
Пласт |
Число образцов |
Коэффициент |
Плотность нефти, г/см3 |
||
|
а |
b |
корреляции |
|||
|
АВ11-2 |
30 |
0,0023 (Асп < 0,6) |
-6,7014 |
0,8522 |
0,846 |
|
|
|
0,0022 (Асп > 0,6) |
-3,8381 |
0,9005 |
|
|
АВ13 |
22 |
0,0025 (Кпор < 0,26) |
-4,5163 |
0,8871 |
0,844 |
|
|
|
0,0027 (Кпор > 0,26) |
-3,0408 |
0,9382 |
|
|
АВ2-3 |
40 |
0,0027 (Кпор < 0,26) |
-3,8378 |
0,9476 |
0,843 |
|
|
|
0,0020 (Кпор > 0,26) |
-3,0789 |
0,9316 |
|
|
АВ4-5 |
35 |
0,0102 (Кпор < 0,26) |
-3,8503 |
0,8281 |
0,849 |
|
|
|
0,0067 (Кпор > 0,26) |
-3,0111 |
0,8722 |
|
Рис. 1. НОМОГРАММА ДЛЯ ОПРЕДЕЛЕНИЯ КОЭФФИЦИЕНТА КнкрВНК И ЕГО ПОЛОЖЕНИЯ ОТНОСИТЕЛЬНО ЗЧВ

1 - нефть; 2- вода; значения h, м: 1 - 2,2-4, 3-6, 4-8,5-10,6-12, 7 15, 8- 20; 9- Кво = f(Кп)
Рис. 2. МОДЕЛИ ПЕРЕХОДНЫХ ЗОН ДЛЯ ПЛАСТОВ БВ91-2 (A), БB93 (Б), БВ101-2 (В) И БВ11 (Г) ГУН-ЕГАНСКОГО И ПЛАСТОВ БВ101 (Д), БВ102 (Е) НИКОЛЬСКОГО МЕСТОРОЖДЕНИЙ

А-Г: значения Кп, %: 1 - 15-17; 2 - 17-19; 3- 19-21; 4 - 21-23; 5-23-25; 6-25-27; 7- 16; 8- 18; 9-20; 10- 22; 11 - 24; 12 - 26; Д - нефтенасышенность, %: 1 - 18; 2- 19; 3- 20; 4 - 21; 5-22; 6-< 18,5; 7- 18,5-19,5; 8-19,5-20,5; 9-20,5-21,5; 10-> 21,5; Е - нефтенасышенность, %: 1 - 18; 2 - 19; 3 - 20; 4 - 21; 5 - 22; 6 - 18,5-19,5; 7- 19,5-20,5; 5-20,5-21,5; 9 - > 21,5; точки соответствуют определениям по керну, линии рассчитаны по формуле значений Кв; абсолютные отметки ЗЧВ для пластов БВ91-2, БВ93, БВ101-2, БВ11 и БВ101, БВ102 приняты значения 2268, 2285, 2324, 2353 и 2359, 2380 м соответственно
Рис. 3. МОДЕЛЬ ПЕРЕХОДНОЙ ЗОНЫ ПЛАСТОВ АВ11-2 - АВ4.5 САМОТЛОРСКОГО МЕСТОРОЖДЕНИЯ

Значения А^: 1 - 0,3; 2- 0,4; 3-0,6; 4 - 0,8; 5-1,0; 6-0,4; 7-0,6; 3-0,8; 9- 1,0
Рис. 4. ГРАФИКИ ЗАВИСИМОСТЕЙ J-ФУНКЦИИ ОТ ВОДОНАСЫЩЕННОСТИ ПО РЕЗУЛЬТАТАМ КАПИЛЛЯРИМЕТРИИ ДДЯ ПЛАСТОВ AB11-2 (А), АВ13 (Б), АВ2-3 (В), АВ4-5 (Г) САМОТЛОРСКОГО МЕСТОРОЖДЕНИЯ

А: значения Асп: 1 - > 0,6; 2-< 0,6; значения Кп; Б: 1 -> 0,26; 2-< 0,26; В: 1-< 0,26; 2- > 0,26; Г: 1 - > 0,26; 2-< 0,26
Рис. 5. СОПОСТАВЛЕНИЕ РАСЧЕТОВ (А) И ОЦЕНКА ВЕЛИЧИНЫ РАСХОЖДЕНИЙ (Б) КОЭФФИЦИЕНТА НЕФТЕНАСЫЩЕННОСТИ (Кн) ПО J-ФУНКЦИИ (1) И МОДЕЛИ ПЕРЕХОДНОЙ ЗОНЫ (2) СО СКВАЖИННЫМИ ДАННЫМИ

Рис. 6. ГРАФИКИ ЗАВИСИМОСТЕЙ ВЫСОТЫ ПЕРЕХОДНОЙ ЗОНЫ ОТ ВОДОНАСЫШЕННОСТИ ДЛЯ ПЛАСТОВ АВ11-2 (А), АВ13 (Б), АВ2-3 (В), АВ4-5 (Г) САМОТЛОРСКОГО МЕСТОРОЖДЕНИЯ

Значения Кпор: А: 1 - > 0,25; 2 - < 0,25; Б, В: 1 - > 0,26; 2- < 0,26